1、角接触球轴承和圆锥滚子轴承派生轴向力分析
角接触球轴承和圆锥滚子轴承由于存在接触角,会产生派生轴向力。以图1所示圆锥滚子轴承为例,由于滚动体与滚道的接触线与轴线之间存在接触角α,当受到径向载荷Fr作用时,各滚动体的反力FNi′并不指向轴承半径方向,而是可以分解为一个径向分力FNi和一个轴向分力Fdi(如图1a)。各滚子径向分力FNi沿半径方向指向中心(如图1b),各轴向分力Fdi沿轴向分布。当受载滚动体数量不同时,各滚动体径向分力与轴向分力也随之变化。

图1 圆锥滚子轴承受力图
图2 轴承滚动体径向分力
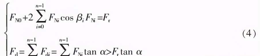
如图2所示,设轴承各滚动体沿中心垂线对称均匀分布:最下方滚动体编号为0,与外载荷Fr夹角为0;最下方滚动体左右两侧的滚子编号为1,与外载荷Fr夹角为β1;沿两侧依次向上,编号为2的滚子与外载荷Fr夹角为β2,编号为i的滚子与外载荷Fr夹角为βi。当只有最下方一个滚动体受载时有:
当受载的滚动体数目增多时,各个滚动体的受载情况可类比只有一个滚动体受载的情况。设各滚动体所受径向分力依次为FN0,FN1,…,FNi,轴向分力依次为Fd0,Fd1,…,Fdi,且:
FN0,FN1,…,FNi在垂直方向的分力之和与外载荷Fr相平衡,水平方向的分力相互抵消;Fd0,Fd1,…,Fdi之和构成派生轴向力Fd。例如图2a中,当3个滚动体受载时满足:
此时派生轴向力Fd不再等于Frtanα,而是大于Frtanα。
推广到受载滚动体数目为n时,力平衡条件为:
式中:n———受载滚动体数目;
Fdi———各滚动体上派生的轴向力;
FNi———各滚动体上的径向分力。
由上述析可以看出,受载滚动体数目越多,则每个滚子所受载荷越均匀,同时轴承的派生轴向力也越大。对于同一个轴承(设α不变),在同样的径向载荷作用下,当轴向力Fa由最小值Frtanα(只有一个滚动体受载)逐渐增大时,同时受载的滚动体数目也随之逐渐增多,与轴向力Fa相平衡的派生轴向力Fd也随之增大。对于实际工作的角接触球轴承或圆锥滚子轴承,为保证受载均匀及可靠工作,应至少达到下半圈滚动体全部受载,因此在安装时要保证足够的轴向力,不能有较大的轴向窜动量。
2、角接触球轴承和圆锥滚子轴承实际轴向力分析
角接触球轴承和圆锥滚子轴承在使用时通常成对安装,可采用外圈宽边相对安装(反装,图3a)和外圈窄边相对安装(正装,图3b)两种方式,反装时两轴承派生轴向力方向相背,正装时两轴承派生轴向力方向相对。进行寿命计算时需要分析计算两个轴承的实际轴向力,如图3所示,设轴系所受外加径向外载荷为Fre,外加轴向载荷为Fae。这里将派生轴向力方向与外加轴向载荷Fae方向相同的轴承标为2,另一个轴承标为1,按照力平衡条件,可确定两轴承所受径向载荷Fr1和Fr2,进而求得两轴承的派生轴向力Fd1和Fd2。当轴向平衡时,应有Fae+Fd2=Fd1,此时两轴承所受轴向力Fd1和Fd2就是自身的派生轴向力。
图3 圆锥滚子轴承轴向力分析图
若等式不成立时,会出现下面两种情况:
当Fae+Fd2>Fd1时,轴系有向左窜动的趋势,则轴承1为限位轴承,被“压紧”,轴承2为非限位轴承,被“放松”。实际上轴系必须处于平衡位置,因此轴承座会通过轴承元件施加一个附加的轴向力(与Fd1同向)来阻止轴的窜动,所以被“压紧”的轴承1所受的总轴向力Fa1必须与Fae+Fd2相平衡,即:Fa1=Fae+Fd2;而被“放松”的轴承2只受其自身的派生轴向力,即:Fa2=Fd2。
当Fae+Fd2 d1时,同理,轴承1为非限位轴承,被“放松”,其所受轴向力为:Fa1=Fd1;轴承2为限位轴承,被“压紧”,其所受轴向力为Fa2=Fd1-Fae。
如果两轴承的标定方式变化,通过分析也可以得到相同的结论。
因此,计算角接触球轴承和圆锥滚子轴承所受实际轴向力时,先通过派生轴向力及外加轴向载荷的分析,判定限位轴承(被压紧)和非限位轴承(被放松),“被放松”轴承的实际轴向力仅为其本身派生轴向力,“被压紧”轴承的实际轴向力为除去其本身派生轴向力外其余轴向力的代数和。
3、结束语
(1)角接触球轴承和圆锥滚子轴承在同样径向载荷作用下,适当增大轴向载荷,可使受载的滚动体数目会增多,保证轴承可靠工作。 更多轴承资讯和轴承知识,可到“中华轴承网简称(华轴网)”上进行查询
(2)这类轴承使用时成对安装,可通过标定限位轴承和非限位轴承来计算的实际轴向力。







