引 言
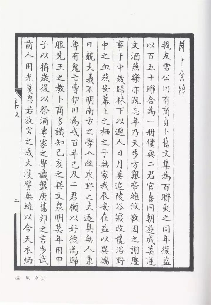
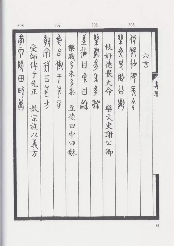
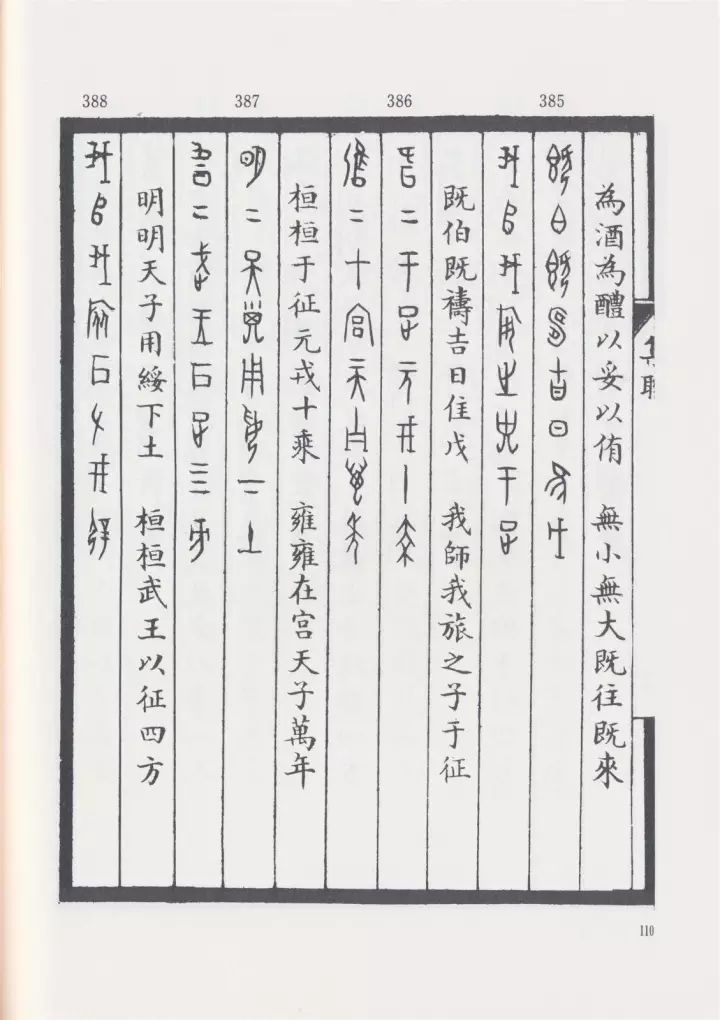
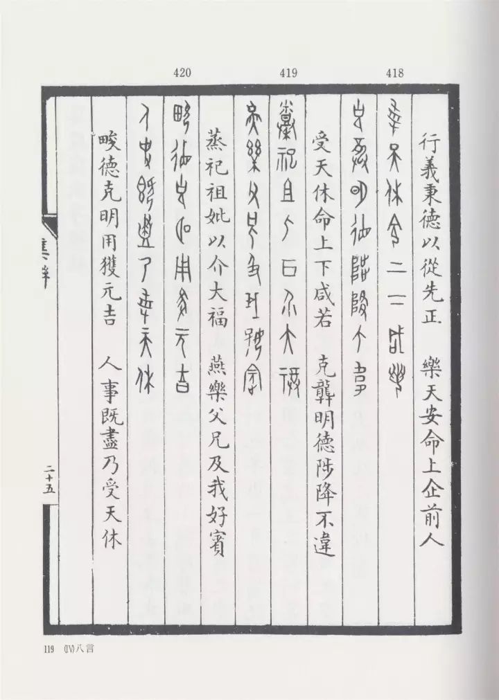
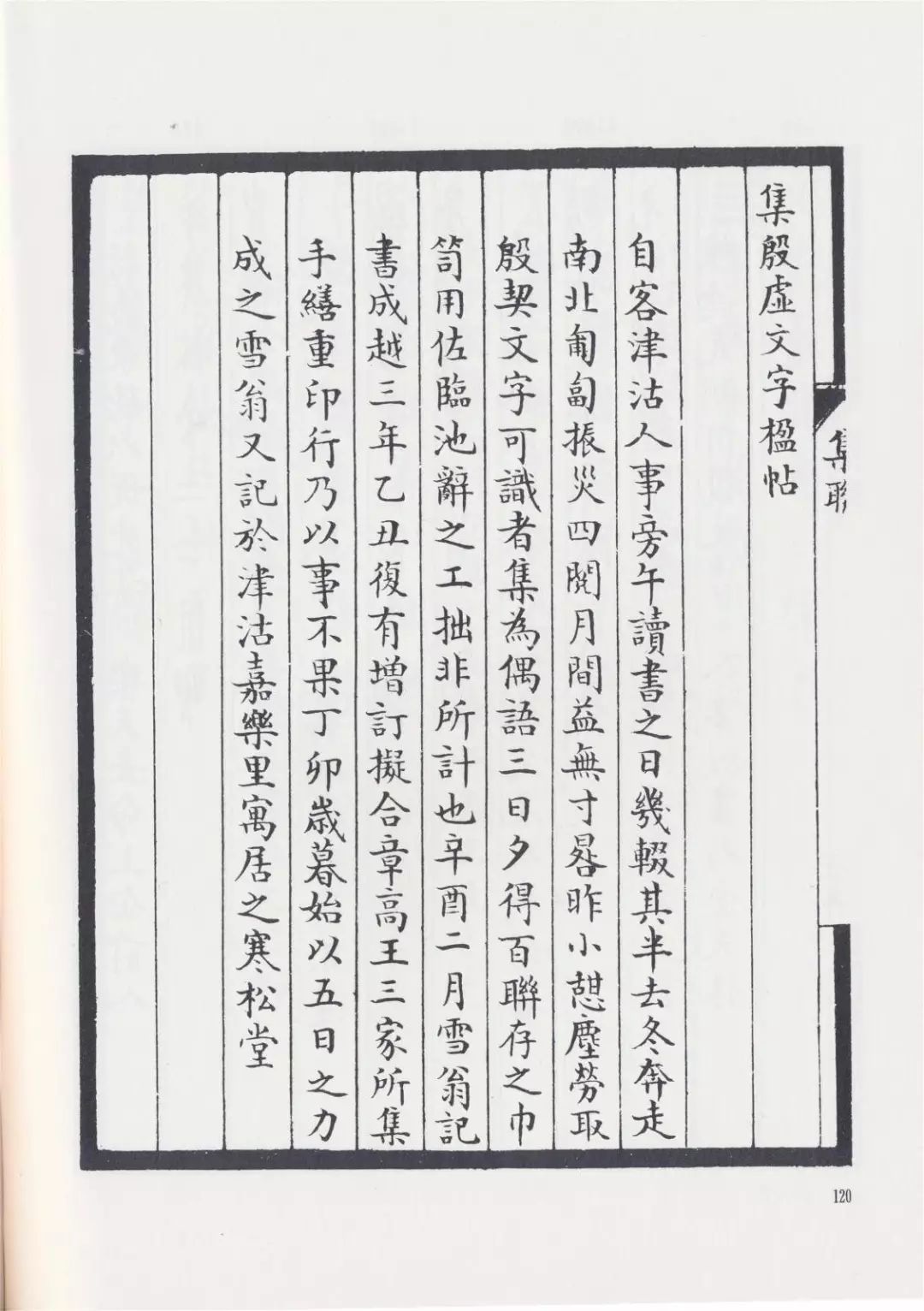
自1899年王懿荣等人发现甲骨文以来,最早是由“甲骨四堂”之一雪堂罗振玉先生(1866—1940)在上世纪20年代初期把甲骨文字引入到笔墨书法创作中来的。1921年,罗氏于研究甲骨之余,在当时考释出来的甲骨文字仅约500字左右的条件下,“取殷契文字可识者,集为偶语,三日夕得百联,存之巾笥,用佐临池”,并于1925年,以《集殷墟文字楹联》为书名付印,这便是史上最早的一部甲骨文书法集,由此也开创了以殷墟甲骨文可释字集字进行书法“创作”的风气。
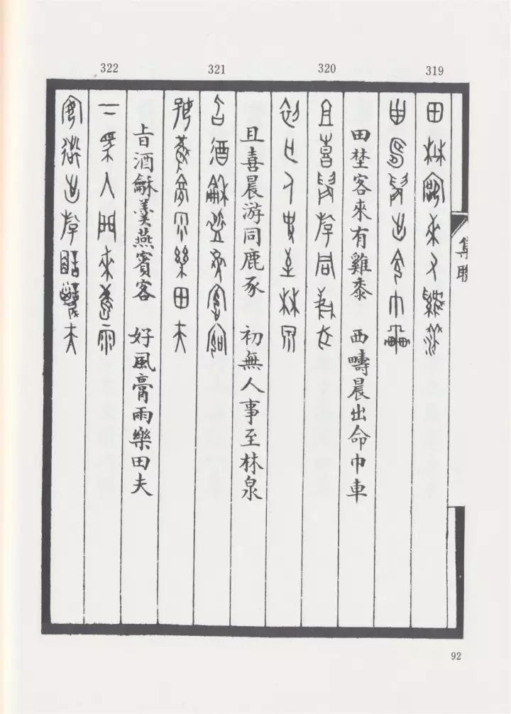
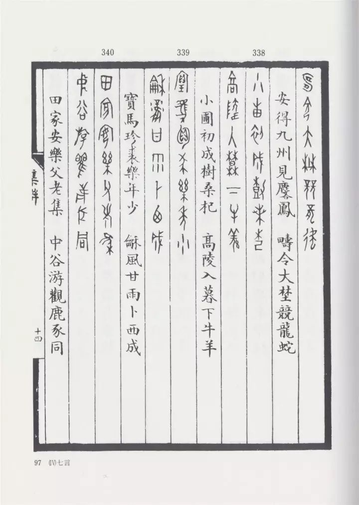
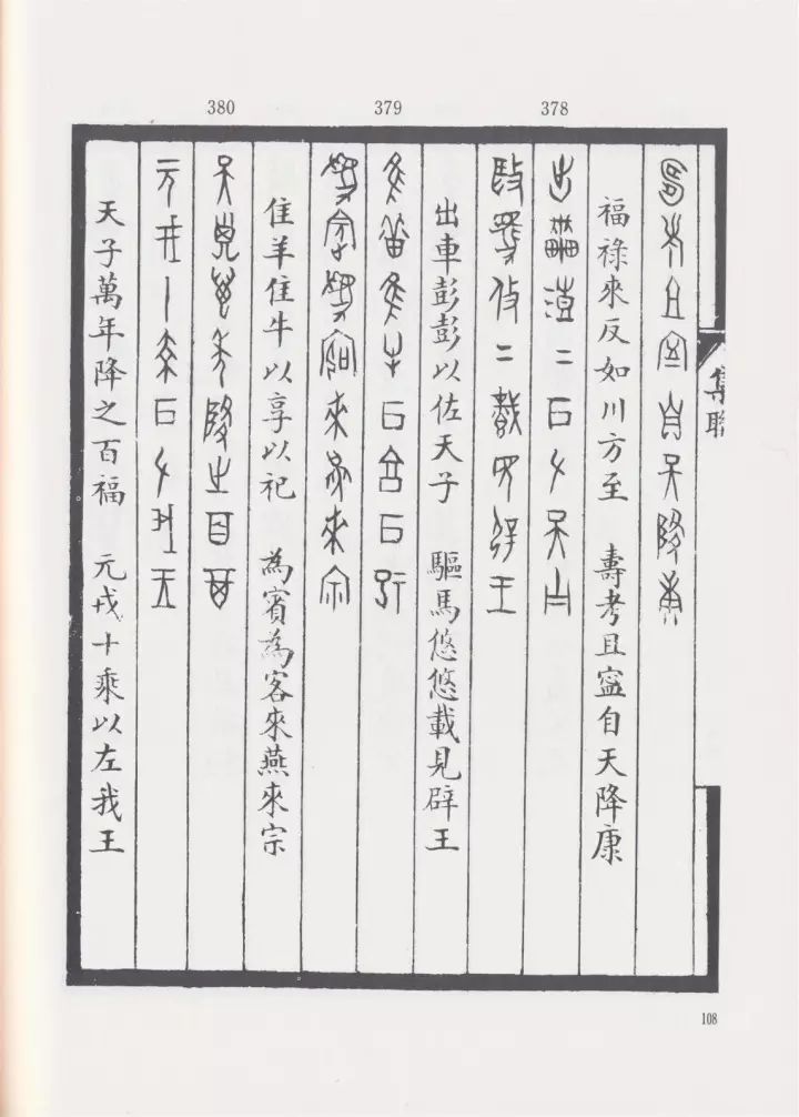
继罗氏之后,有章钰、高德馨、王季烈等同好也纷纷效仿,集甲骨文字为楹联,1927年又以《集殷墟文字楹帖汇编》为名由东方学会出版为线装石印本,汇总罗、章、高、王四家集联而成书,共收四言、五言、六言、七言、八言、十言等400余联,由罗振玉亲自手书付印。1985年,四家集联汇编又以《集殷墟文字楹帖》为书名由吉林大学出版社放大重印(只是排列顺序上将罗振玉集联提到前面,由原来的章、高、王、罗变为罗、章、高、王)。此外日本内山知也又对罗氏《汇编》作日文译注,编为《甲骨文墨场必携》一书,1986年由东京木耳社出版。
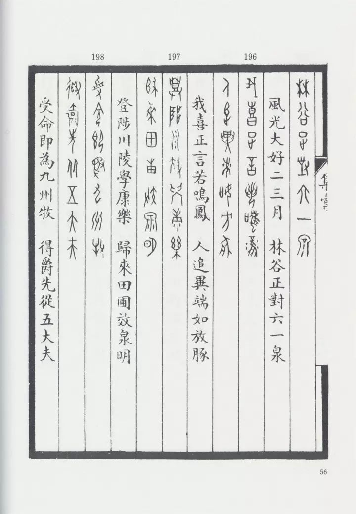
雪堂罗振玉,可以说不仅仅是甲骨学也是甲骨文书法的奠基人。虽然罗氏所书《集殷墟文字楹帖》成书以来一直广为甲骨文书家所效法,时至今日对甲骨文书法的学习仍不乏裨益,但现下甲骨文书法学习者在使用或参考此书时需要注意几点。其一,从用字上来说,该书成书时甲骨文字的考释尚处于初级阶段,集联所用文字有不少已被后来的文字学家推翻,今天甲骨文书家创作时不可毫无甄别地完全照搬罗氏等人的对联用字;其二,从书写风格上说,罗氏所书甲骨文,虽则有其自身特点及美观之处,但事实上他将小篆之笔法引入甲骨文书写,笔画粗细一致,字的大小一律,一定程度上失去了甲骨文的率意、烂漫,偏于对称、规整,而甲骨文书法发展到今天,我们进行甲骨文书法创作的高标准之一应该是尽可能地吸收和再现甲骨文错落参差,大小、长扁不一等自由烂漫的特点。
本篇虽名为《殷墟甲骨文楹帖汇编》,但由于《甲骨文墨场必携》本所收各家集联字迹更为清晰,故选用该本图版整本扫描,这里略去了书中日文注释,主要提供楹联图片,以期可解广大甲骨文书家与爱好者之渴。遗憾的是,由于《墨场必携》本与吉林大学出版社的《汇编》本各家顺序不同,故未将《汇编》中书后姚孝遂所作校订全图呈现,计划他日另作补编。
《集殷墟文字楹帖汇编》
(高清全本)

目录 ▼
王季烈 序 ▼
罗振玉 自序 ▼
长洲 章钰 集联 ▼
长洲 高德馨 集联 ▼
吴 王季烈 集联 ▼
上虞 罗振玉 集联▼



































































































































