通过DOE试验设计的整车空气动力学开发流程,工程师可以在较短时间内得到最优设计变量的组合解、设计变量对响应的效应大小以及设计变量之间对响应的交互效应,对于工程实践具有极大的指导意义。
1. DOE优化流程
DOE优化方法的主要功能是对变量的控制,首先在控制条件下有效地操纵或改变自变量,使响应的变化得到观察;其次对输入、输出响应的影响性大小排列,进行系统理解性的灵敏度分析;最后探索出设计变量对系统响应的影响计算,确认参数间的交互效应和粗略估计最优设计;同时为响应面(RSM)模型和Kriging代理模型的构建准备数据库(详见图1)。

2. 网格变形-Morphing
DOE方法的整车空气动力学开发流程中,自动网格变形技术相比手动网格变形既能节省大量的时间又保证网格质量的一致性。整车网格变形的质量直接影响到CFD计算的收敛性和精度,从而影响DOE设计空间寻优的结论。
CAE模型的网格变形通过给定的表述形式实现节点的移动,表述形式可以是矩阵表示的数学形式,也可以是由目标形状定义的几何形式。网格变形技术中节点可以分为控制节点、可变形节点和固定节点。控制节点通过多种变换方式运动,如平移、旋转、比例缩放和投影等,以驱动整个变形过程;可变形节点随控制节点运动。网格变形大体可以分为两种方式:自由变形和基于控制块的变形(见图2)。
3. DOE取样技术
DOE方法的整车空气动力学开发流程中,DOE取样技术选择决定了样本点数量和整个设计空间的响应面或代理模型的精度。
如取样数目太多就失去了取样的意义,同时会加大CFD计算的时间; 如果样本点数目太少会失去代表性,反应不了整个设计空间的实际情况。在实际工程应用中,均匀拉丁超立方和正交数组取样较为常用。均匀拉丁超立方取样能取出具有代表性、不重复的初始样本点,以较少的样本点数进行CFD计算。
4. DOE数据处理
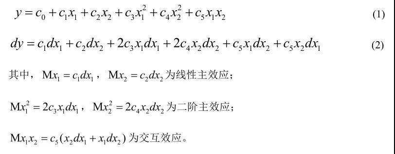
DOE方法的整车空气动力学开发流程中,DOE 将会运行设计样本中的每一个采样试验点,每个采样试验点都会产生一个响应。当获得所有的响应信息后,建立一个标准的2阶最小二乘多项式响应面来近似试验点,会产生一系列的多项式的系数。以两个独立因子X1,X2为例,考虑多项式:
设计变量和响应之间的关系成为主效应,通常是通过拟合的多项式的系数来计算设计变量和响应之间的关系得到,主效应反应了在平均意义上,设计变量是如何影响响应的。
帕累托(Pareto)分析,在整个优化设计空间内,为了达到优化目标(风阻最小等),设计变量所必须达到的组合状态。图5为Pareto贡献率图,通过对多项式的系数进行了正则化处理,通过柱状的长度来直观的反应出因子对响应的效应,并对因子影响响应的大小贡献做出排序。





