计算机考研408历年真题汇总
前两天有同学问我计算机考研好不好考,考哪些科目,计算机专业现在除了自命题外越来越多的院校调整科目,考408,今天给大家整理了2009-2020年计算机408的真题,希望对大家考成功上岸有所帮助~

以2010年真题为例子
2010 年全国硕士研究生入学统一考试计算机科学与技术学科联考
计算机学科专业基础综合试题
一、单项选择题:第 1~40 小题,每小题 2 分,共 80 分。下列每题给出的四个选项中,只有一个选项最符合试题要求。
1. 若元素a,b,c,d,e,f 依次进栈,允许进栈、退栈操作交替进行,但不允许连续三次进行退栈操作,则不可能得到的出栈序列是( )。
A.d,c,e,b,f,a
B.c,b,d,a,e,f
C.b,c,a,e,f,d
D.a,f,e,d,c,b
2. 某队列允许在其两端进行入队操作,但仅允许在一端进行出队操作,若元素 a,b,c,d, e 依次入此队列后再进行出队操作,则不可能得到的出队序列是( )。
A.b,a,c,d,e
B.d,b,a,c,e
C.d,b,c,a,e
D.e,c,b,a,d
3. 下列线索二叉树中(用虚线表示线索),符合后序线索树定义的是( )。
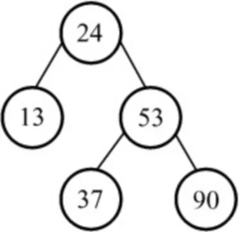
4. 在下图所示的平衡二叉树中,插入关键字 48 后得到一棵新平衡二叉树。在新平衡二叉树中,关键字 37 所在结点的左、右子结点中保存的关键字分别是( )。
A.13、48
B.24、48
C.24、53
D.24、90
5. 在一棵度数为 4 的树 T 中,若有 20 个度为 4 的结点,10 个度为 3 的结点,1 个度为 2 的结点,10 个度为 1 的结点,则树 T 的叶结点个数是( )。
A.41 B.82 C.113 D.122
6. 对 n(n≥2)个权值均不相同的字符构成赫夫曼树。下列关于该赫夫曼树的叙述中,错误的是( )。
A.该树一定是一棵完全二叉树B.树中一定没有度为 1 的结点
C. 树中两个权值最小的结点一定是兄弟结点
D. 树中任一非叶结点的权值一定不小于下一层任一结点的权值
7. 若无向图 G=(V,E)中含有 7 个顶点,要保证图G 在任何情况下都是连通的,则需要的边数最少是( )。
A.6 B.15 C.16 D.21
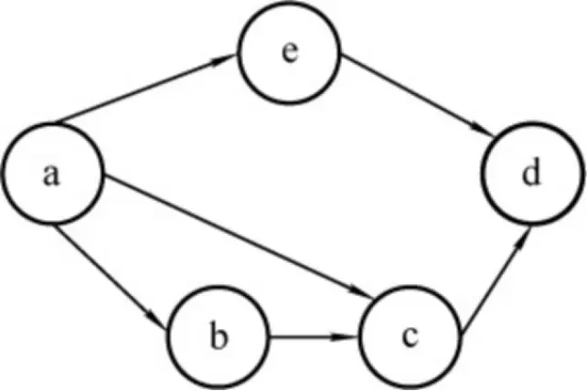
8. 对下图进行拓扑排序,可以得到不同拓扑序列的个数是( )。
A.4 B.3 C.2 D.1
9. 已知一个长度为 16 的顺序表 L,其元素按关键字有序排列。若采用折半查找法查找一 个 L 中不存在的元素,则关键字的比较次数最多是( )。
A.4 B.5 C.6 D.7
10. 采用递归方式对顺序表进行快速排序。下列关于递归次数的叙述中,正确的是( )。
A. 递归次数与初始数据的排列次数无关
B. 每次划分后,先处理较长的分区可以减少递归次数C.每次划分后,先处理较短的分区可以减少递归次数D.递归次数与每次划分后得到的分区的处理顺序无关
11. 对一组数据(2,12,16,88,5,10)进行排序,若前三趟排序结果如下:
第一趟排序结果:2,12,16,5,10,88
第二趟排序结果:2,12,5,10,16,88
第三趟排序结果:2,5,10,12,16,88
则采用的排序方法可能是( )。
A.起泡排序 B.希尔排序
C.归并排序 D. 基 数 排 序
12.下列选项中,能缩短程序执行时间的措施是( )。
Ⅰ.提高CPU 时钟频率 Ⅱ.优化数据通路结构
Ⅲ.对程序进行编译优化
A.仅Ⅰ和Ⅱ
B.仅Ⅰ和Ⅲ
C.仅Ⅱ和Ⅲ
D.Ⅰ、Ⅱ和Ⅲ
13. 假定有 4 个整数用 8 位补码分别表示为r1=FEH,r2=F2H,r3=90H,r4=F8H。若将运算结果存放在一个 8 位寄存器中,则下列运算中会发生溢出的是( )。
A.r1×r2
B.r2×r3
C.r1×r4
D.r2×r4
14. 假定变量 i、f、d 数据类型分别为int、float、double(int 用补码表示,float 和 double 分别用 IEEE754 单精度和双精度浮点数据格式表示),已知 i=785,f=1.5678e3,d=1.5e100,若在 32 位机器中执行下列关系表达式,则结果为“真”的是( )。
Ⅰ.i==(int)(float)i Ⅱ.f==(float)(int)f Ⅲ.f==(float)(double)f Ⅳ.(d+f)-d==f
A.仅Ⅰ和Ⅱ
B.仅Ⅰ和Ⅲ
C.仅Ⅱ和Ⅲ
D.仅Ⅲ和Ⅳ
15. 假定用若干个 2K×4 位芯片组成一个 8K×8 位的存储器,则地址 0B1FH 所在芯片的最小地址是( )。
A.0000H
B.0600H
C.0700H
D.0800H
16. 下列有关RAM 和ROM 的叙述中,正确的是( )。
Ⅰ.RAM 是易失性存储器,ROM 是非易失性存储器
Ⅱ.RAM 和ROM 都是采用随机存取方式进行信息访问的
Ⅲ.RAM 和ROM 都可用做 Cache
Ⅳ.RAM 和ROM 都需要进行刷新
A.仅Ⅰ和Ⅱ
B.仅Ⅱ和Ⅲ
C.仅Ⅰ、Ⅱ和Ⅲ
D.仅Ⅱ、Ⅲ、Ⅳ
17. 下列命中组合情况中,一次访存过程中不可能发生的是( )。
A.TLB 未命中,Cache 未命中,Page 未命中
B.TLB 未命中,Cache 命中,Page 命中
C.TLB 命中,Cache 未命中,Page 命中
D.TLB 命中,Cache 命中,Page 未命中
18. 下列寄存器中,汇编语言程序员可见的是( )。
A.存储器地址寄存器(MAR)
B.程序计数器(PC)
C.存储器数据寄存器(MDR)
D.指令寄存器(IR)
19.下列选项中,不会引起指令流水阻塞的是( )。
A.数据旁路(转发)
B.数据相关
C.条件转移
D. 资 源 冲 突
20.下列选项中的英文缩写均为总线标准的是( )。
A.PCI、CRT、USB、EISA
B.ISA、CPI、VESA、EISA
C.ISA、SCSI、RAM、MIPS
D.ISA、EISA、PCI、PCI-Express
21.单级中断系统中,中断服务程序执行顺序是( )。
Ⅰ.保护现场
Ⅱ.开中断
Ⅲ.关中断
Ⅳ.保存断点
Ⅴ.中断事件处理
Ⅵ.恢复现场
Ⅶ.中断返回
A.Ⅰ->Ⅴ->Ⅵ->Ⅱ->Ⅶ
B.Ⅲ->Ⅰ->Ⅴ->Ⅶ
C.Ⅲ->Ⅳ->Ⅴ->Ⅵ->Ⅶ
D.Ⅳ->Ⅰ->Ⅴ->Ⅵ->Ⅶ
22. 假定一台计算机的显示存储器用 DRAM 芯片实现,若要求显示分辨率为 1600×1200, 颜色深度为 24 位,帧频为 85Hz,显存总带宽的 50%用来刷新屏幕,则需要的显存总带宽至少约为( )。
A.245Mbit/s
B.979Mbit/s
C.958Mbit/s
D.7 834Mbit/s
23. 下列选项中,操作系统提供的给应用程序的接口是( )。
A.系统调用
B.中断
C.库函数
D.原语
24.下列选项中,导致创建新进程的操作是( )。
Ⅰ.用户登录成功 Ⅱ.设备分配 Ⅲ.启动程序执行
A.仅Ⅰ和Ⅱ
B.仅Ⅱ和Ⅲ
C.仅Ⅰ和Ⅲ
D.Ⅰ、Ⅱ、Ⅲ
25. 设与某资源相关联的信号量初值为 3,当前值为 1。若 M 表示该资源的可用个数,N 表示等待该资源的进程数,则 M、N 分别是( )。
A.0、1
B.1、0
C.1、2
D.2、0
26.下列选项中,降低进程优先级的合理时机是( )。
A.进程的时间片用完
B.进程刚完成 I/O,进入就绪列队
C.进程长期处于就绪列队
D.进程从就绪状态转为运行态
27.进行 p0 和p1 的共享变量定义及其初值为:
boolean flag[2]; int turn=0;
flag[0]=FALSE; flag[1]=FALSE;
则并发执行进程p0 和 p1 时产生的情形是( )。
A.不能保证进程互斥进入临界区,会出现“饥饿”现象
B.不能保证进程互斥进入临界区,不会出现“饥饿”现象
C.能保证进程互斥进入临界区,会出现“饥饿”现象
D.能保证进程互斥进入临界区,不会出现“饥饿”现象
28. 某基于动态分区存储管理的计算机,其主存容量为 55MB(初始为空闲),采用最佳适应分配(Best Fit)算法,分配和释放的顺序为:分配 15MB,分配 30MB,释放 15MB,分配 8MB,分配 6MB,此时主存中最大空闲分区的大小是( )。
A.7MB
B.9MB
C.10MB
D.15MB
29. 某计算机采用二级页表的分页存储管理方式,按字节编制,页的大小为 210 字节,页表
项大小为 2 字节,逻辑地址结构为:
逻辑地址空间大小为 2^16 页,则表示整个逻辑地址空间的页目录表中包含表项的个数至少是( )。
A.64
B.128
C.256
D.512
30. 设文件索引结点中有 7 个地址项,其中 4 个地址项为直接地址索引,2 个地址项为一级间接地址索引,1 个地址项为二级间接地址索引,每个地址项的大小为 4B。若磁盘索引块和磁盘数据块大小均为 256B,则可表示的单个文件最大长度是( )。
A.33KB
B.519KB
C.1057KB
D.16513KB
31. 设置当前工作目录的主要目的是( )。
A.节省外存空间
B.节省内存空间
C.加快文件的检索速度
D.加快文件的读/写速度
32. 本地用户通过键盘登录系统时,首先获得键盘输入信息的程序是( )。
A.命令解释程序
B.中断处理程序
C.系统调用服务程序
D.用户登录程序
33. 下列选项中,不属于网络体系结构所描述的内容是( )。
A.网络的层次
B.每一层使用的协议
C.协议的内部实现细节
D.每一层必须完成的功能
34. 在下图所表示的采用“存储-转发”方式的分组交换网络中,所有链路的数据传输速率为 100Mbit/s,分组大小为 1000B,其中分组头大小为 20B。若主机 H1 向主机 H2 发送一个大小为 980000B 的文件,则在不考虑分组拆装时间和传播延迟的情况下,从 H1 发送开始到H2 接收完为止,需要的时间至少是( )。
A.80ms
B.80.08ms
C.80.16ms
D.80.24ms
35. 某自治系统内采用 RIP 协议,若该自治系统内的路由器 R1 收到其邻居路由器 R2 的距离矢量,距离矢量中包含信息,则能得出的结论是( )。
A.R2 可以经过R1 到达 net1,跳数为 17
B.R2 可以到达 net1,跳数为 16
C.R1 可以经过R2 到达net1,跳数为 17
D.R1 不能经过R2 到达 net1
36. 若路由器 R 因为拥塞丢弃 IP 分组,则此时 R 可向发出该 IP 分组的源主机发送的 ICMP
报文类型是( )。
A.路由重定向
B.目的不可达
C.源抑制
D.超时
37.某网络的IP 地址空间为192.168.5.0/24,采用定长子网划分,子网掩码为255.255.255.248,则该网络中的最大子网个数、每个子网内的最大可分配地址个数分别是( )。
A.32、8
B.32、6
C.8、32
D.8、30
38.下列网络设备中,能够抑制广播风暴的是( )。
Ⅰ.中继器 Ⅱ.集线器 Ⅲ.网桥 Ⅳ.路由器
A 仅Ⅰ和Ⅱ
B.仅Ⅲ
C.仅Ⅲ和Ⅳ
D.仅Ⅳ
39. 主机甲和主机乙之间已建立一个 TCP 连接,TCP 最大段长度为 1000B,若主机甲的当前拥塞窗口为 4000B,在主机甲向主机乙连续发送 2 个最大段后,成功收到主机乙发送的对第一个段的确认段,确认段中通告的接收窗口大小为 2000B,则此时主机甲还可以向主机乙发送的最大字节数是( )。
A.1000
B.2000
C.3000
D.4000
40. 如果本地域名服务器无缓存,当采用递归方法解析另一网络某主机域名时,用户主机、本地域名服务器发送的域名请求消息数分别为( )。
A.一条、一条
B.一条、多条
C.多条、一条
D.多条、多条
二、综合应用题:41~47 小题,共 70 分。请将答案写在答题纸指定位置上。
41.(10 分)将关键字序列(7、8、30、11、18、9、14)散列存储到散列表中,散列表的存储空间是一个下标从 0 开始的一维数组,散列函数为 H(key)=(key×3) MOD 7,处理冲突采用线性探测再散列法,要求装填(载)因子为 0.7。
(1) 请画出所构造的散列表。
(2) 分别计算等概率情况下查找成功和查找不成功的平均查找长度。
42.(13 分)设将 n(n>1)个整数存放到一维数组 R 中。试设计一个在时间和空间两方面都尽可能高效的算法,将R 中保存的序列循环左移 p(0
(1) 给出算法的基本设计思想。
(2) 根据设计思想,采用 C 或C++或 Java 语言描述算法,关键之处给出注释。
(3) 说明你所设计算法的时间复杂度和空间复杂度。
43.(11 分)某计算机字节长为 16 位,主存地址空间大小为 128KB,按字编址。采用单字长指令格式,指令各字段定义如下:
注:(x)表示存储地址 x 或寄存器 x 的内容。请回答下列问题:
(1) 该指令系统最多可有多少指令?该计算机最多有多少个通用寄存器?存储器地址寄存器(MAR)和存储器数据寄存器(MDR)至少各需要多少位?
(2) 转移指令的目标地址范围是多少?
(3) 若操作码 0010B 表示加法操作(助记符为add),寄存器 R4 和R5 的编号分别为 100B和 101B,R4 的内容为 1234H,R5 的内容为 5678H,地址 1234H 中的内容为 5678H,地址5678H 中的内容为 1234H,则汇编语句“add(R4),(R5)+”(逗号前为源操作数,逗号后为目的操作数)对应的机器码是什么(用十六进制表示)?该指令执行后,哪些寄存器和存储单元中的内容会改变?改变后的内容是什么?
44.(12 分)某计算机的主存地址空间大小为 256MB,按字节编址。指令 Cache 和数据 Cache分离,均有 8 个Cache 行,每个Cache 行大小为 64B,数据 Cache 采用直接映射方式。现有两个功能相同的程序 A 和B,其伪代码如下所示:
假定 int 类型数据用 32 位补码表示,程序编译时 i、j、sum 均分配在寄存器中,数组a 按行优先方式存放,其首地址为 320(十进制)。请回答下列问题,要求说明理由或给出计算过程。
(1) 若不考虑用于Cache 一致维护和替换算法的控制位,则数据Cache 的总容量为多少?
(2) 数组元素 a[0][31]和 a[1][1]各自所在的主存块对应的Cache 行号分别是多少(Cache 行号从 0 开始)?
(3) 程序A 和B 的数据访问命中率各是多少?哪个程序的执行时间更短?
45.(7 分)假设计算机系统采用 CSCAN(循环扫描)磁盘调度策略,使用 2KB 的内存空间记录 16384 个磁盘块的空闲状态。
(1) 请说明在上述条件如何进行磁盘块空闲状态的管理。
(2) 设某单面磁盘的旋转速度为每分钟 6000 转,每个磁道有 100 个扇区,相临磁道间的平均移动的时间为 1ms。若在某时刻,磁头位于 100 号磁道处,并沿着磁道号增大的方向移动(如下图所示),磁道号的请求队列为 50、90、30、120,对请求队列中的每个磁道需读取 1 个随机分布的扇区,则读完这 4 个扇区共需要多少时间?要求给出计算过程。
(3) 如果将磁盘替换为随机访问的 Flash 半导体存储器(如U 盘、SSD 等),是否有比 CSACN 更高效的磁盘调度策略?若有,给出磁盘调度策略的名称并说明理由;若无,请说明理由。
46.(8 分)设某计算机的逻辑地址空间和物理地址空间均为 64KB,按字节编址。某进程最多需要 6 页(Page)数据存储空间,页的大小为 1KB,操作系统采用固定分配局部置换策略为此进程分配 4 个页框(Page Frame)。在时刻 260 前该进程访问情况如下表所示(访问位即使用位)。
当该进程执行到时刻 260 时,要访问逻辑地址为 17CAH 的数据。请回答下列问题:
(1) 该逻辑地址对应的页号是多少?
(2) 若采用先进先出(FIFO)置换算法,该逻辑地址对应的物理地址是多少? 要求给出计算过程。
(3) 若采用时钟(Clock)置换算法,该逻辑地址对应的物理地址是多少?要求给出计算过程。(设搜索下一页的指针按顺时针方向移动,且指向当前 2 号页框, 示意图如下所示)
47.(9 分)某局域网采用 CSMA/CD 协议实现介质访问控制,数据传输率为 10Mbit/s,主机甲和主机乙之间的距离为 2km,信号传播速度是 200000km/s。请回答下列问题,要求说明理由或写出计算过程。
(1) 若主机甲和主机乙发送数据时发生冲突,则从开始发送数据时刻起,再到两台主机均检测到冲突时刻为止,最短需经过多长时间?最长经过多长时间?(假设主机甲和主机乙发送数据过程中,其他主机不发送数据)
(2) 若网络不存在任何冲突与差错,主机甲总是以标准的最长以太数据帧(1518B)向主 机乙发送数据,主机乙每成功收到一个数据帧后立即向主机甲发送一个 64B 的确认帧,主机甲收到确认帧后立即发送下一个数据帧。此时主机甲的有效数据传输速率是多少?(不考虑以太网帧的前导码)
篇幅有限,我就不再这里全部把考研408真题列举出来了,准备考计算机408的同学,如果有需要真题或者其他考研问题都可以私信我,我发你一份。加油~争取一站上岸












