近日,猪肉价格下跌,引起了全民的欢呼。大家都纷纷表示,终于实现猪肉自由了。但也有小伙伴发现了,并在后台留言咨询,为什么黑猪肉的价格会比普通白猪肉会贵一些呢?黑猪肉与白猪肉相比,营养上有什么更出彩的地方吗?

白猪就是我们现在最常见到的普通猪肉,是上世纪末引进外国猪种杂交而来的;而黑猪是我国的本土猪种。有人说,中国人对猪肉从来不会崇洋媚外。因为,黑猪肉吃起来比白猪肉更香、更鲜美。下面我们就来分析一下黑猪肉的营养。
1、总体营养对比
不同品种黑猪、普通猪的主要营养成分的分布范围较大,导致二者均值差异不显著。
有研究表明[1]:黑猪的蛋白、灰分含量均明显高于普通猪肉,而脂肪及水分含量跟部分的不同而有所差异。总的来说,黑猪肉的营养价值略高于普通猪肉。
图1 黑猪肉与普通猪肉蛋白、脂肪、灰分以及水分含量的差异
2、氨基酸组成——肉质鲜味
肌苷酸和鲜味氨基酸是肉类主要的鲜味物质。
肌苷酸多存在于动物肌肉中,其生成其生成因素较多,主要包括代谢过程中涉及的各种酶类、动物品种、组织部位、屠宰方式及屠宰后的处理等等。由于黑猪肉的蛋白质含量比普通猪肉高,因此同等条件下,其肌苷酸含量更丰富。
黑猪肉中含有18种氨基酸,具体含量如图所示。其中,谷氨酸和天冬氨酸两种鲜味氨基酸含量占比为13.70%和8.19%[4];总的高于白猪肉中谷氨酸(11.44%)、天冬氨酸(7.18%)[3]。因此,黑猪肉的鲜味比白猪肉更佳。
图2 黑猪肉的氨基酸含量[4]
3、脂肪酸组成——肉质风味
肉类风味的形成途径有:美拉德反应、脂质降解、硫胺素降解以及美拉德反应产物与脂质氧化产物的相互作用[3]。其中,有90%左右是由热引发的脂质降解产生的风味化合物[5]。这主要是由脂肪酸的组成不同以及脂肪酸的氧化程度不同引起的。
脂质熟制过程中会受热分解成游离脂肪酸,而不饱和脂肪酸如油酸、亚油酸、亚麻酸、花生四烯酸等,会在高温中氧化,最终分解成酮、醛、酸等挥发性羰基化合物,它们是肉质挥发性风味物质的重要组成部分。氧化降解过程如下图3:
图3 不饱和脂肪酸的氧化降解途径[3]
油酸通过氧化降解反应产生庚醛、辛醛、壬醛、2-癸二烯醛和2-壬烯醛等5种令人心情愉悦的醛类物质;而亚油酸、亚麻酸、花生四烯酸等多不饱和脂肪酸通过氧化降解反应,产生令人愉悦及令人不愉悦的物质[5]。因此,风味物质的产生与单不饱和脂肪酸(如油酸)呈正相关,与多不饱和脂肪酸含量(亚油酸、亚麻酸、花生四烯酸)呈负相关。
有研究表明:黑猪肉中含有21种脂肪酸,总量为55.13g/100 g,其中单不饱和脂肪酸含量高达55.75%[4]。黑猪肉的总脂肪含量以及单不饱和脂肪酸含量都明显高于白猪肉,因而风味更佳。
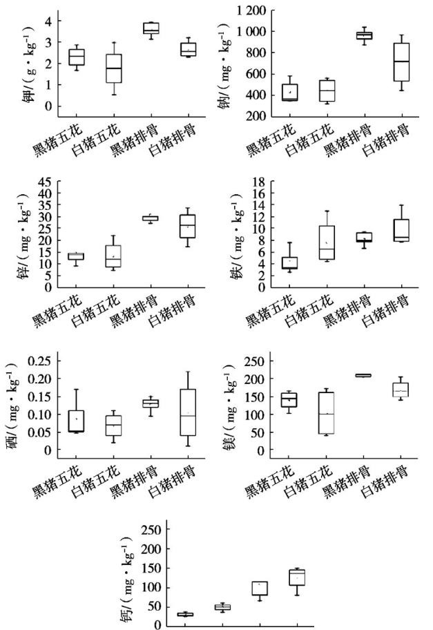
4、矿物质——营养差异大
猪肉的矿物质含量波动范围较大。因为肉类矿物质含量不仅与品种有关,更与产地土壤、水源以及饲料的矿物质特征有关。
总的来说,黑猪肉的钾、锌、硒、钠、镁含量比普通白猪肉高,钙、铁含量则低于普通白猪肉。
图4 黑猪肉的矿物质含量[1]
5、维生素——与饲料喂养相关
肉类中的维生素含量与日粮配方相关,在黑猪肉中的变化波动范围亦比较大。因此,这里不做对比。有研究统计[1]:黑猪五花中的维生素A范围为16.6~29.4μg/100 g,维生素B1范围为0.348~0.634 mg/100 g,维生素E的范围是0.203~0.951 mg/100 g;黑猪排骨中的维生素A范围为10~16.4μg/100 g,维生素B1范围为0.573~1.04 mg/100g,维生素E的范围是0.286~0.775 mg/100 g。具体如图5所示:
图5 黑猪肉的维生素含量[1]
综上,黑猪肉由于生长速度缓慢,饲养周期较长,整体营养价值更高。从营养成分差异分析,黑猪肉有氨基酸比例更合理、脂肪酸更丰富、肌苷酸含量更高、矿物质含量更丰富等优点,高蛋白、低脂肪的成分特点也让其肉质更鲜美。所以,黑猪肉贵还是有它贵一些的道理噢。有朋友反馈说现在的猪肉越来越没有"猪肉味"了,那就去试试黑猪肉吧,尝尝久违的猪肉鲜味~
参考文献:
[1]朱宏,梁克红,郭子轩,仇菊,王靖. 黑猪肉与普通猪肉的营养成分对比[J]. 食品工业,2021,42(03):342-346.
[2]杨俊杰. 三种中国地方猪肉与瘦肉型猪肉的风味品质比较和鉴别研究[D].合肥工业大学,2015.
[3]王永辉,马俪珍,张建荣,张亚杰. 杂种野猪肉与本地白猪肉营养品质的研究[J]. 农产品加工(学刊),2006,(01):11-13+16.
[4]赵健,王蒙,谢建春,王天泽,肖群飞,赵梦瑶,范梦蝶. 黑猪肉关键香气物质分析鉴定[J]. 食品科学,2018,39(02):203-209.
[5]李敬,杨媛媛,赵青余,汤超华,秦玉昌,张军民. 肉风味前体物质与风味品质的关系研究进展[J]. 中国畜牧杂志,2019,55(11):1-7.









