编辑/凯霞
卷积神经网络(CNN)在计算机视觉等领域取得了巨大成功。同时,量子计算硬件的快速发展为通过量子计算增强经典机器学习提供了可能。
受经典 CNN 的启发,中科大黄合良(He-Liang Huang)所在研究团队提出了一种混合量子经典卷积神经网络(quantum-classical convolutional neural network,QCCNN)。表明 QCCNN 可以完成分类任务,其学习精度超过具有相同结构的经典 CNN。
该研究以「Hybrid quantum-classical convolutional neural networks」为题,于 8 月 4 日发表在《Science China Physics, Mechanics & Astronomy》期刊上。

CNN、QCNN、QCCNN
随着量子计算硬件的快速发展,我们正在进入开发量子软件以使用嘈杂的中级量子 (NISQ) 计算机执行有用计算任务的时代。量子机器学习 (QML) 试图利用量子计算机来实现机器学习任务的计算加速或更好的性能。
实现线性函数的一种直接方法是所谓的全连接层,但当输入尺寸很大时,由于矩阵尺寸很大,这种方法会变得效率低下。CNN 是一种非常流行的方案,它试图通过用卷积层替换全连接层来解决这个问题。卷积层只将输出的每个神经元连接到输入的一个小区域(窗口),称为特征图,从而大大减少了参数的数量。CNN 在计算机视觉等领域取得了巨大成功。
哈佛大学和加州大学的研究人员提出了一种量子卷积神经网络(QCNN)的架构,该架构最近被提出用于解决量子数据的分类问题。洛斯阿拉莫斯国家实验室与伦敦大学的研究人员合作证明,QCNN 不会受到「贫瘠高原」的影响。
但与其他 QML 算法类似,QCNN 使用与输入大小一样多的量子比特,这使得它不太可能在当前的量子计算机上实现来解决现实世界的问题。
现在,受 CNN 的启发,研究人员提出了一种混合量子经典卷积神经网络 (QCCNN)。QCCNN 继承了 CNN 的基本结构,但将 CNN 中的特征图替换为「量子特征图」。例如,对于大小为 n×n 的窗口,量子特征图首先使用量子位编码将其编码为量子状态,然后使用参数量子电路演化该状态,最后计算全局量子算子的期望值以输出下一层的标量。
图示:QCCNN。(来源:论文)
在 QCCNN 的量子卷积层中,滤波器被重新设计以利用参量量子电路,将其称为量子滤波器。
图示:设计的参数量子电路的细节,由交错的单量子位层和双量子位层组成。(来源:论文)
QCCNN 有 3 个重要特点:
1)与其他受 CNN 启发的量子机器学习算法相比,QCCNN 在很大程度上继承了 CNN 的架构,例如非线性和多层结构。与 CNN 相比,QCCNN 可以探索更大的特征空间,因此更有可能实现更高的学习精度,这在本工作的合成数据集上得到了数值证明;
2)CNN 中使用的窗口尺寸往往比较小,比如从 3×3 到 9×9,因此量子特征图对目前只有几十个量子比特的量子计算机很友好;
3)QCCNN 的设计不存在输入输出问题。此外,QCCNN 可以轻松接受量子数据作为输入,在这种情况下,可以实现量子计算效率方面的优势。
接着研究人员展示了一个框架,可用于自动计算任何 QCCNN 的精确梯度。
训练 QCCNN 的工作方式与常规神经网络相同。各种基于梯度的优化技术,例如随机、批量或小批量梯度下降算法,可用于优化 QCCNN 的参数。一旦模型经过训练,它就可以用于预测给定输入的输出。
QCCNN 的应用演示
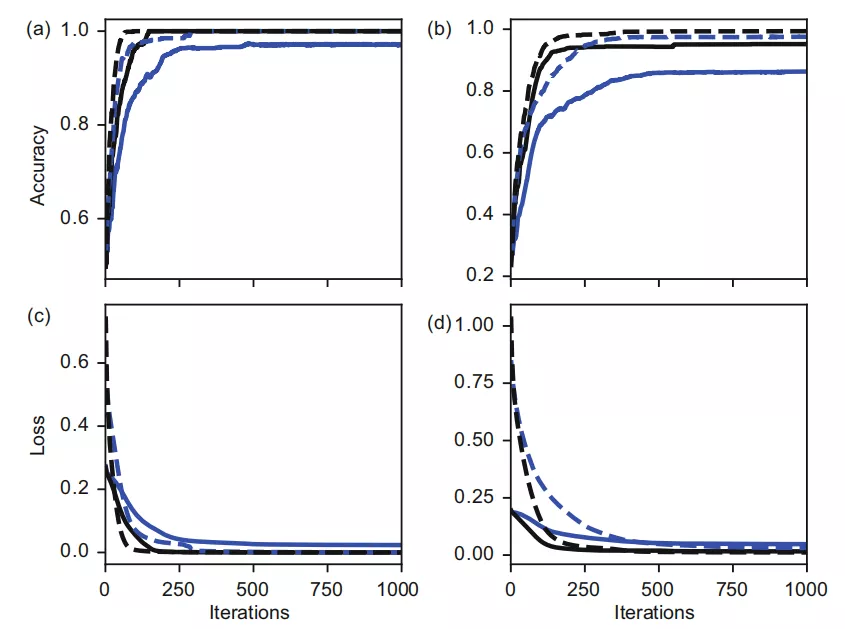
研究人员通过将 QCCNN 应用于「俄罗斯方块」数据集来展示 QCCNN 的潜力。俄罗斯方块图像数据集由 800 张形状为 3×3 的灰度图像组成,其中每个灰度图像都是一个模拟的俄罗斯方块砖。将 QCCNN 与具有两种特定结构的 CNN 进行基准测试,即一种具有单个卷积层,另一种具有两个卷积层。
图示:俄罗斯方块数据集的一些示例。(来源:论文)
研究人员观察到 QCCNN 对于使用的两种结构都可以达到几乎 100% 的准确度,并且与经典对应物相比,它可以在两种情况下达到更低的损失值。受益于量子系统的高维特性,当类别数从 2 增加到 4 时,QCCNN 的优势变得更加明显。
同时也可以看到,4-label 的情况比 2-label 的情况需要更多的迭代才能收敛,在这种情况下,两层结构的 QCCNN 比单层结构收敛得更快,尤其是在 4-label 的情况下,这表明对于复杂问题,可以通过更深的架构获得更好的性能。
图示:作为迭代次数的函数的精度和损失。(来源:论文)
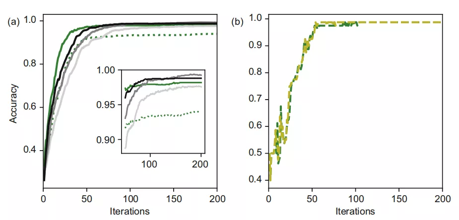
为了更深入地了解 QCCNN,研究人员调整参数量子电路的深度(从而改变参数的数量)以查看其对训练精度的影响。具体来说,对于两层QCCNN,将电路深度改为1、2、4(因此每个量子特征图中的参数个数为4、8、16),
研究发现,带有 1 深度量子电路的 QCCNN 已经可以达到比 CNN 更高的精度(它们包含的参数数量完全相同),并且 QCCNN 在更大的电路深度下表现更好,因为它需要足够的深度来完全纠缠所有量子位。
图示:(a)精度作为两层 QCCNN 的迭代次数的函数,具有深度 1、2、4 的量子特征图,以从浅到深的灰线显示,对于两层层 CNN,以绿色虚线显示。(b) 作为噪声(绿色虚线)和完美(黄色虚线)具有深度为 2 的量子特征图的单层 QCCNN 迭代次数的函数的精度。(来源:论文)
由于当前的量子设备受到噪声的影响,研究人员还研究了噪声量子电路对训练性能的影响。可以看到性能对此类错误具有很强的弹性,并且在嘈杂的情况下仍然可以达到训练精度 1。
研究人员表示:「我们提出了一种混合 QCCNN,可用于解决当前量子计算机的现实世界问题。QCCNN 在应用于现实世界问题时避免了量子机器学习算法的输入和输出问题,这是当前量子机器学习算法面临的主要挑战之一。此外,我们还提出了一个框架来自动计算混合量子经典损失函数的梯度,这可能是未来开发复杂的混合量子经典变分算法的有用工具。」






