背景:
在20世纪初,物理学界诞生了影响至今的两大理论,这两个门派 ,一个是爱因斯坦以一人之力提出的相对论,另一个则是由玻尔领导的哥本哈根学派合力塑成的量子力学。

而因为观念的差异,爱因斯坦与玻尔领导的哥本哈根学派之间的分歧不断扩大。
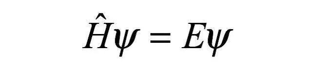
1926年,薛定谔从经典力学的哈密顿-雅可比方程(使用分析力学中求解动力学问题的一个方程)出发,利用变分法(一种求解边界值问题的方法)和德布罗意方程,最后求出了一个非相对论的方程,用希腊字母ψ来=代表波的函数,最终形式是:
这就是名震 20 世纪物理史的薛定谔波动方程。方程中的波函数用来描述微观粒子的状态,但是薛定谔认为这应该表现为振动着的物质波的谐函数而不是跳跃的电子。他认为电子是一种波,就像云彩一般(电子云说法的由来),放大来看后,就好像在空间里融化开来,变成无数振动的叠加,平常表现出量子的状态,是因为它蜷缩的太过厉害,看起来就像一个小球。函数ψ就是电子电荷在空间中的实际分布。
电子云模型
薛定谔认为:波函数本身代表一个实在的和物理的可观测量,即使在原子量级上,经典的连续过程和绝对的决定论照样成立。
然而哥本哈根学派的玻恩统计解释认为:波函数在某一时刻在空间的强度,即其振幅绝对值的平方与在这一点找到粒子的几率成正比,和粒子联系的波是概率波。波函数Ψ因此就称为概率幅,玻恩的统计解释提出之后,波函数Ψ的绝对值的平方因此就称为概率幅,玻恩成功地解释了以反对量子力学为目的的薛定谔方程中波函数的物理意义。这种统计或概率方法,和它所伴随的非连续性波函数坍缩。
玻尔更是因此提出了互补性原理:原子现象不能用经典力学所要求的完备性来描述。在构成完备的经典描述的某些互相补充的元素,在这里实际上是相互排除的,这些互补的元素对描述原子现象的不同面貌都是需要的。
所以既然物质具有波粒二象性。根据互补原理,一个实验可以展示出物质的粒子行为,或波动行为;但不能同时展示出两种行为。
而海森堡则提出了不确定性原理,你不可能同时知道一个粒子的位置和它的速度,粒子位置的不确定性,必然大于或等于普朗克常数除于4π(ΔxΔp≥h/4π),总结来说,你选择以确定电子位置的实验本身,就导致了你无法对电子的动量进行精密的测量!。
波恩的概率解释、海森堡的不确定性原理和玻尔的互补原理,三者共同构成了量子论“哥本哈根解释”的核心。
而这也导致了爱因斯坦与哥本哈根学派之间的尖锐争执,相对论虽然推翻了牛顿的绝对时空观,却仍保留了严格的因果性和决定论,而量子力学的哥本哈根诠释却更激进,哥本哈根诠释的三大核心原理,前两者摧毁了经典力学构建的严格因果性,互补原理和不确定原理又合力捣毁了世界的绝对客观性。
哥本哈根诠释抛弃了经典的因果关系,宣称人类并不能获得实在世界的确定的结果,它称自己只有由这次测量推测下一次测量的各种结果的分布几率,而拒绝对事物在两次测量之间的行为做出具体描述。
两个人的论争可以归结为上帝是否掷骰子
在通过一系列的信件论争之后,双方的对决在第五届索尔维会议达到高潮。
时间:
1927年10月24日—29日。主题“电子和光子”
哥本哈根学派参战方:
玻尔、海森堡、泡利、玻恩
爱因斯坦一派参战方
爱因斯坦、德布罗意、薛定谔
吃瓜群众
实验物理学家代表:康普顿、居里夫人、布拉格等
PS:实验物理派与参战两方所代表的理论物理派在20世纪初曾爆发激烈的矛盾,理论物理派讲究从理论上探索自然界未知的物质结构、相互作用和物质运动的基本规律,而实验物理派主要是从实验上来探索物质世界和自然规律。
爱因斯坦斯坦的相对论是两派矛盾的爆发点,部分实验物理学派因为相对论尤其是广义相对论在当时并没有实验基础,他们无法接受其中新的时空观,两派的激烈矛盾导致爱因斯坦1921年的诺贝尔奖其实是1922年被追授的。而此次会议他们所关心的也只是实验的结果。
公正人
量子论创始人:普朗克
1900年,普朗克发表了量子假说,掀开了物理学发展新的序幕,标志着物理学由经典物理学向现代物理学转变,作为量子论的创始人,普朗克为量子力学的创立奠定了基础,而同时普朗克也对爱因斯坦赞赏有加。作为一名德高望重的长者,69岁的普朗克出席此次会议则起到了一定的公正作用,有他坐阵,两方最起码不会打起来。
主持人
理论物理学大宗师:洛伦兹
第一代理论物理学家的领袖,他填补了经典电磁场理论与相对论之间的鸿沟,是经典物理和近代物理间的一位承上启下式的科学巨擘,洛伦兹提出的洛伦兹变换经过爱因斯坦导出之后, 成为相对论最基本的关系式,狭义相对论的运动学结论和时空性质,如同时性的相对性、长度收缩、时间延缓、速度变换公式、相对论多普勒效应等都可以从洛伦兹变换中直接得出。洛伦兹作为此次会议的主持人,也保证了此次会议的含金量。
对决过程
第一轮:
在这次大会上,爱因斯坦首先派出自己的大将德布罗意作量子新力学的演讲。
他说:粒子是波场中的一个奇异点,波引导着粒子运动。德布罗意试图把粒子融合到波的图像里去,提出了一种“导波”(pivot wave)的理论,认为粒子是波动方程的一个奇点,它必须受波的控制和引导,将波函数视为引导粒子动作的向导波。
然而由于这一理论失去了因果理论的逻辑一致性,被怼天怼地怼空气的“上帝之鞭”泡利站起来狠狠地批评了一顿,他首先不能容忍历史车轮倒转,回到一种传统图像中,然后他引了一系列实验结果来反驳德布罗意,证明此理论无法适当处理非弹性散射(高能快中子射入物质,与构成物质的原子核(靶核)发生作用时,先被靶核吸收形成复合核,而后再放出较低能量的中子,靶核吸收了能量处于激发态。这一作用称为非弹性散射),最后,德布罗意不得不公开声明放弃他的观点。
结果:哥本哈根学派胜利第二轮:
薛定谔又搬出了自己的“电子云”理论,薛定谔认为波函数本身代表一个物理实在的可观测量,电子的确在空间中实际地如波般扩散开去,例如电子的波函数和电子的电荷相乘,就代表了电子的电荷在空间中的实际分布。
结果被海森堡和玻恩联合撂倒。海森堡评论说:“我从薛定谔的计算中看不到任何东西可以证明事实如同他所希望的那样”。
薛定谔承认他的计算确实还不太令人满意,不过他依然坚持,谈论电子的轨道是“胡扯”。波恩回敬道:“不,一点都不是胡扯”。
电子云
海森堡和波恩认为波函数本身是个不可观测量,波函数的平方代表粒子在空间某点出现的概率,电子本身不会像波那样扩展开去,只是它在空间出现的概率像一个波,严格地按照波函数的分布展开。如此一来,量子规律本质上是统计性的,非决定论的。
玻恩和海森堡报告了他们的《量子力学》,他们在报告最后说:“我们主张,量子力学是一种完备的理论,它的基本物理假说和数学假设是不能进一步修改的”。
玻恩和海森堡的连续进攻让薛定谔最后只能选择缴械投降。
在此次对决中,薛定谔被怼的哑口无言。哥本哈根学派成功实现了双杀第三轮
无将可派的爱因斯坦与哥本哈根学派的掌门人玻尔在会议上展开了精彩的对决,两位物理史上的大师在此次会议上展开的争论将会议掀至高潮。第五届索尔维会议很快变成了专属于玻尔和爱因斯坦的决斗。
玻尔发表了他的讲演《量子公设和原子理论的最近发展》,爱因斯坦起来发言,表达了他对量子力学的一般性见解。
玻尔讲演稿原文片段
爱因斯坦提出了一个模型:一个电子通过一个小孔得到衍射图像。爱因斯坦指出,目前存在着两种观点,第一是说这里没有“一个电子”,只有“一团电子云”,它是一个空间中的实在,为德布罗意-薛定谔波所描述。第二是说的确有一个电子,而ψ是它的“几率分布”,电子本身不扩散到空中,而是它的几率波。
爱因斯坦承认,观点Ⅱ是比观点I更加完备的,因为它整个包含了观点I。尽管如此,爱因斯坦仍然说,他不得不反对观点Ⅱ,因为这种随机性表明,同一个过程会产生许多不同的结果,而且这样一来,感应屏上的许多区域就要同时对电子的观测作出反应,这似乎暗示了一种超距作用,从而违背相对论。爱因斯坦认为从中可以清楚地看出哥本哈根解释的内部矛盾。
然而玻尔举出实证,不但证明了这个模型是符合量子力学的,还画出一幅实验示意图,表明这个实验仍然符合量子力学的特性,玻尔的反击让爱因斯坦无法反驳。
但是爱因斯坦没有屈服,他使出自己的看家本领,不断发动攻势,想让哥本哈根学派领袖玻尔屈服,但是玻尔每次都能顺利化解,并且立马发动反击。
下面有请前方记者、吃瓜群众、玻尔和爱因斯坦的共同好友埃伦费斯特发回的报道:
爱因斯坦像一个弹簧玩偶,每天早上都带着新的主意从盒子里弹出来,而玻尔则从云雾缭绕的哲学中找到工具,把对方所有的论据都一一碾碎。
下面我们再有请在场的海森堡同志描述一下当时的画面:
讨论很快就变成了一场爱因斯坦和玻尔之间的决斗:当时的原子理论在多大程度上可以看成
是讨论了几十年的那些困难的最终答案呢?
我们一般在旅馆用早餐时就见面了,于是爱因斯坦就描绘一个思维实验,他认为从中可以清楚地看出哥本哈根解释的内部矛盾。然后爱因斯坦,玻尔和我便一起走去会场,我就可以现场聆听这两个哲学态度迥异的人的讨论,我自己也常常在数学表达结构方面插几句话。在会议中间,尤其是会间休息的时候,我们这些年轻人。大多数是我和泡利,就试着分析爱因斯坦的实验,而在吃午饭的时候讨论又在玻尔和别的来自哥本哈根的人之间进行。
一般来说玻尔在傍晚的时候就对这些理想实验完全心中有数了,他会在晚餐时把它们分析给爱因斯坦听。爱因斯坦对这些分析提不出反驳,但在心里他是不服气的。
最终,在第三轮战中,哥本哈根学派再次取得胜利,三战三胜!结果
在此次会议的论战中,玻尔领导的哥本哈根学派取得了完全的胜利,但爱因斯坦仍然坚持自己的观点,不肯承认他输了,他在给朋友的信中写道:
“玻尔、海森堡的绥靖哲学是如此精心策划的,使它得以向那些信徒暂时提供了一个舒适的软枕。那种人不是那么容易从这个软枕上惊醒的,那就让他们躺着吧。”
社团大哥玻尔大爷
由此掀开了第六届索尔维会议的序幕,没错,再干一轮!
意义:
第五届索尔维会议的论战可以说是物理史2000年以来最为精彩最高配置的对决,虽然这场论战十分尖锐、激烈,但是却展现了双方对于科学的严谨态度,这是一场真正的学术论战,是学术论战的光辉典范。
通过这次论战,大家普遍认识到哥本哈根派关于波函数的解释更具完备性,对量子力学的原理有了更深刻的认识,推理了物理学的大发展。
由此20世纪到21世纪,现代物理学体系迎来了双子星时代。
PS:全部参会人员明细表
后排左起:
A.皮卡尔德(A.Piccard)E.亨利厄特(E.Henriot)P.埃伦费斯特(P.Ehrenfest)
Ed.赫尔岑(Ed.Herzen) Th.顿德尔(德康德)(Th. de Donder)
E.薛定谔(E.Schrodinger) E.费尔夏费尔德(E.Verschaffelt) W.泡利(W.Pauli)
W.海森堡(W.Heisenberg) R.H.否勒(R.H.Fowler) L.布里渊(L.Brillouin )
中排左起:
P.德拜(P.Debye) M.克努森(M.Knudsen) W.L.布拉格(
W.L.Bragg) H.A.克莱默(H.A.Kramers) P.A.M狄拉克(P.A.M.Dirac) A.H.康普顿(A.H.Compton ) L.德布罗意(L. de Broglie) M.波恩(M.Born) N.玻尔(N.Bohr )
前排左起:
I.朗缪尔(I.Langmuir) M.普朗克(M.Planck M.居里夫人(Mme Curie )
H.A.洛伦兹(H.A.Lorentz ) A.爱因斯坦(A.Einstein) P.朗之万(P.Langevin)
Ch.E.古伊(Ch.E.Guye) C.T.R.威尔逊(C.T.R.Wilson)
O.W.里查逊(O.W.Richardson)
1927索尔维会议高清图
量子力学相框照 (10寸)
(摄于比利时索尔维国际物理研究所)

























