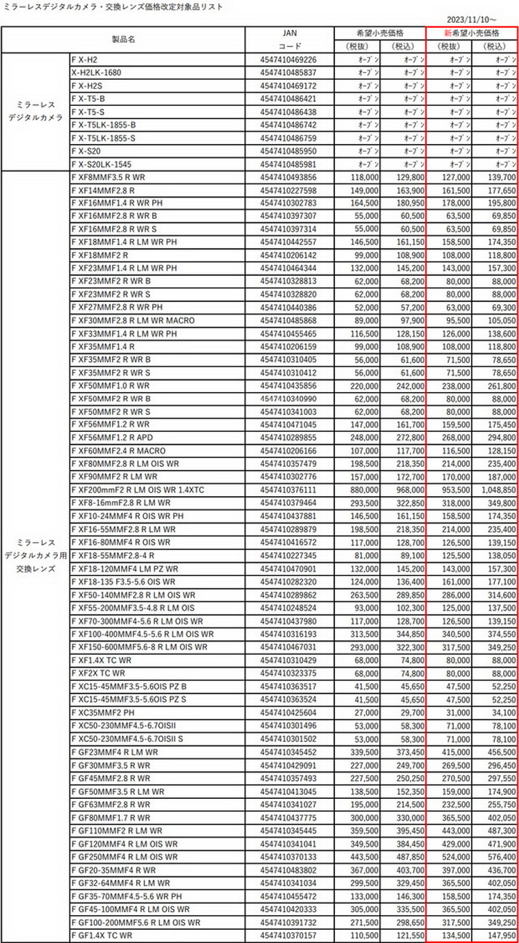
不久前富士日本官网公告,从11月10日起,也就明天调整X-H2、X-H2S、X-T5和X-S20四台机身,以及X卡口、G卡口镜头,全面涨价,其中镜头涨幅介乎8-30%之间,操作相当徕卡。

按照富士官方说法,虽然公司一直在提高生产效率、减少开支来抵消原材料、制造以及物流成本上涨造成的影响,但是现已超出公司自身能力,所以决定提高相机、镜头出厂价和建议零售。受影响的产品包括X-H2、X-H2S、X-T5和X-S20四台X卡口无反相机,以及以及X卡口、G卡口镜头,换句话说,只有中画幅的GFX系列相机不涨价。
在前段时间举办的富士影像周的晚宴上,富士(中国)需宣布将GFX100S售价从39800元下调到29900元,整整降价近万元,算是一个好兆头,但是万万没想到,降价才没有几天,富士日本就宣布X卡口机身以及所有镜头全面涨价,而且理由还是用了N年的材料、制造以及物流成本上涨,不得不感叹富士相机真是日本匠人精心打造。
不过看到这一次消息后,相信尼康心里乐开花,刚刚在9月份推出复古全画幅无反相机ZF,富士现在涨价不是给尼康送大礼么?



