血尿,是各种慢性肾炎,如IgA肾病、原发性系膜增生肾小球肾炎、狼疮肾炎、紫癜性肾炎的临床表现之一,也是肾炎患者免疫活动的标志。
今天我们有请宋岩教授跟我们聊聊年轻人最多见的慢性肾炎--IgA肾病如何减轻血尿。

血尿是IgA肾病患者最突出的临床表现,通常为镜下血尿,镜下血尿是指尿红细胞>3个/HP。感染后可见肉眼血尿,伴或不伴蛋白尿。
近年来研究发现,血尿也是影响IgA肾病预后的危险因素,尤其是在持续性尿蛋白(尿蛋白>0.5-1g/天)的IgA肾病患者中,合并持续性血尿发生尿毒症的风险显著升高。
1.血尿转阴后,肾功能恶化速度减慢
JASN的一项队列研究,随访了112例IgA肾病患者,定期复查他们的尿红细胞数量、24小时尿蛋白定量、血肌酐。平均随访14年,其中21例(17.2%)患者在随访结束时发生终末期肾衰竭。
患者基线数据如下▽
该研究分析结果时,将患者分为2组,人工镜检晨尿的红细胞≤5HP定义为无血尿或轻微血尿;平均时间人工镜检红细胞>5HP定义为持续性血尿,2组患者RAS阻断剂和糖皮质激素使用率无差别。
近一半(52例)患者在随访期间血尿转阴,血尿转阴的中位时间约6年。
结果可以看到,持续性血尿组的患者肾脏存活率低于无血尿或轻微血尿的患者。
在随访期间,尿红细胞数量越多、持续时间越长的患者,肾病进展风险越大。
而当血尿缓解后,患者的肾功能下降速度显著减慢,由每年肾小球滤过率下降6.45±14.66ml/min/1.73㎡减慢为0.18±2.56 ml/min/1.73㎡。
AJKD发表的另一项研究,纳入1333例中国的IgA肾病患者,中位随访时间45个月,最终有207例在随访期发生肾功能下降50%和肾衰竭(其中123例终末期肾衰竭),结果也发现随访期间持续性血尿是发生肾衰竭的独立危险因素。
患者基线数据如下▽
该研究者采用人工显微镜检(RBC/HPF)和全自动尿颗粒分析仪(RBC/μL)2种方法检测血尿。
将人工镜检红细胞≤5/Hp和全自动分析≤28/μL定义为血尿缓解;平均时间人工镜检红细胞>5/Hp和全自动分析>28/μL定义为持续性血尿。
持续性血尿的患者肾功能下降50%或肾衰竭的相对风险升高46%。
在诊断后的前6个月,血尿缓解的患者,肾功能下降50%或肾衰竭的相对风险降低59%。尤其是在蛋白尿没有缓解(尿蛋白定量>1g/天)的IgA肾病患者中,诊断后的前6个月发生血尿缓解,大大降低了其肾衰竭的风险。
尿蛋白没有缓解的患者组,血尿缓解后肾病进展相对风险降低54%。
随访期一直都没有血尿的患者肾病进展的相对风险最低,一直有血尿的患者肾病进展的相对风险最高,其余定义为间歇性血尿,相对风险居中(如下图)。
那么,如何缓解血尿呢?
有一部分IgA肾病患者的血尿可以自发缓解,也就是说在没有使用降血尿的药物或其他手段干预的情况下,患者自己就渐渐没有尿红细胞了。
并且,研究发现,尿蛋白越少的患者,病情越轻的患者,血尿自发缓解的概率越高。
那么,有哪些手段可以促进血尿自发缓解,以及有哪些治疗手段促使血尿缓解呢?
2.临床用于降血尿的办法
1
根除感染
IgA肾病与黏膜感染密切相关,尤其是扁桃体炎、胃肠炎,根除感染,一部分IgA肾友的血尿可不药而愈!
IgA肾病肾友们在感染期注意复查尿检和肾功能(血肌酐)指标,观察感染对自身病情的影响。
如果你身体出现某个感染后,复查尿红细胞或者蛋白尿比平时升高很多,说明感染对你肾病的影响较大,那么要积极处理和预防各种感染发作。如果指标变化不多,说明感染对你的肾病的关系可能没那么密切,这因人而异。
排查一下自己身上有没有隐匿的感染,牙齿的、咽喉的、消化道的、泌尿道的炎症,这些都可能对IgA肾病的血尿造成影响。解决这些炎症病灶有助血尿的自发缓解。
2
扁桃体切除,仅适用部分IgA肾病患者
扁桃体切除术可能对血尿缓解有帮助。
但是,鉴于切扁是有创伤性的,而对肾脏长期保护存在争议,因此,国际权威肾病指南KDIGO不推荐切除扁桃体作为IgA肾病的常规治疗手段。
临床上一般仅建议这些肾友可考虑切除扁桃体:IgA肾病中反复肉眼血尿型,扁桃体炎发作次数频繁(如每年发作≥3次)且发作扁桃体炎后严重影响肾病指标(相较于平常尿红细胞和尿蛋白显著增多)和生活质量。
3
激素,一把双刃剑
目前IgA肾病血尿的具体机制尚未完全明确,但很多研究认为尿红细胞是肾脏炎症活动的表现。
研究显示,更高的尿红细胞可能与更多的新月体,内皮细胞增生,系膜细胞增生等活跃病变有关(如下图)。
所以一些免疫相关的治疗方法可能对降低尿红细胞有帮助。
糖皮质激素具有强大的抗炎作用,可以减少部分IgA肾病患者血尿,但由于药物副作用较大,通常仅在具有高进展风险的IgA肾病患者中才会使用,即尿蛋白多、病理活跃的IgA肾友。
而对于仅有血尿而无尿蛋白和肾功能损害的患者,长期预后较好,因此单纯血尿患者通常不适用激素治疗。
TESTING试验结果显示,糖皮质激素治疗组有58.8%的患者血尿缓解。
3
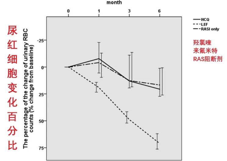
来氟米特
来氟米特属于免疫抑制剂中副作用相对小一些的药物,是具有抗增殖活性的异噁唑类衍生物。
在一项对比来氟米特和羟氯喹治疗IgA肾病的研究显示,来氟米特(20mg/天)治疗6个月后,来氟米特组的平均尿红细胞从基线的43.75/HP降至6个月时的15.13/HP,平均降低71.07%。(羟氯喹和RAS阻断剂组没有统计学差异)
4
鱼油,潜在抗炎作用
鱼油的主要成分是n-3不饱和脂肪酸,有一定抗炎作用,它可以抑制IL-1、IL-6、TNF等炎症因子产生,抑制内皮素-1、一氧化氮、血小板活化因子等促炎因子产生。
使用鱼油可降低部分IgA肾友的血尿。
5
布地奈德肠溶胶囊
III期临床试验证实,在血尿方面,中国人群中,布地奈德肠溶胶囊组2年内无镜下血尿的患者比例从26.9%显著改善至57.7%,而安慰剂组几乎无变化。
6
环磷酰胺、吗替麦考酚酸酯、硫唑嘌呤
这些药物均属于作用比较强的免疫抑制剂,但同时副作用也较大,因此一般仅在病情较为危重的IgA肾病患者中使用,而不用于轻症患者。
STOP-IgAN试验中,除了激素可以缓解患者的血尿外,免疫抑制治疗组中,部分联合免疫治疗(泼尼松龙+环磷酰胺、硫唑嘌呤)的患者也出现了血尿缓解。
在重度IgA肾病患者中,霉酚酸酯+激素与环磷酰胺+激素均可以降低血尿。一项研究结果显示,霉酚酸酯组红细胞下降超过50%的患者有37例(88.1%),环磷酰胺组有26例(61.9%)。
总结
总的来说,肾友们健康生活,作息规律,避免过度劳累,预防感染反复发作,有助于血尿的自发缓解。
对于进展风险较高的IgA肾友(血尿合并蛋白尿,尿蛋白>0.5-1g/天),则需要咨询专业医生指导治疗。
参考文献:
1.Spontaneous remission in adult patients with IgA nephropathy treated with conservative therapy.
2.Intensive Supportive Care plus Immunosuppression in IgA Nephropathy.
3.Effect of Oral Methylprednisolone on Clinical Outcomes in Patients With IgA Nephropathy: The TESTING Randomized Clinical Trial.
4.IgA肾病的治疗与预后.UTD.


















