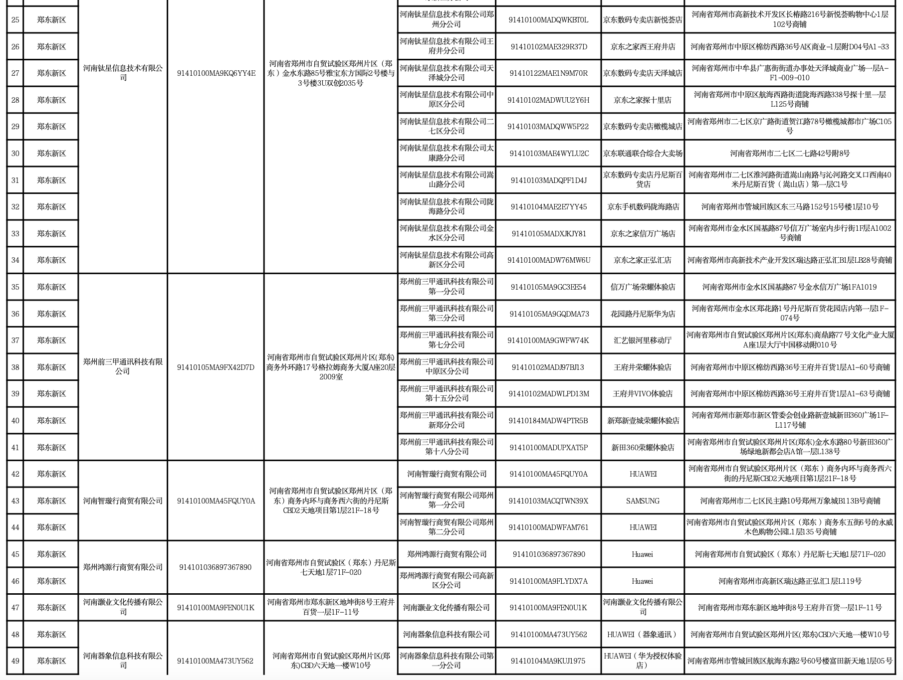
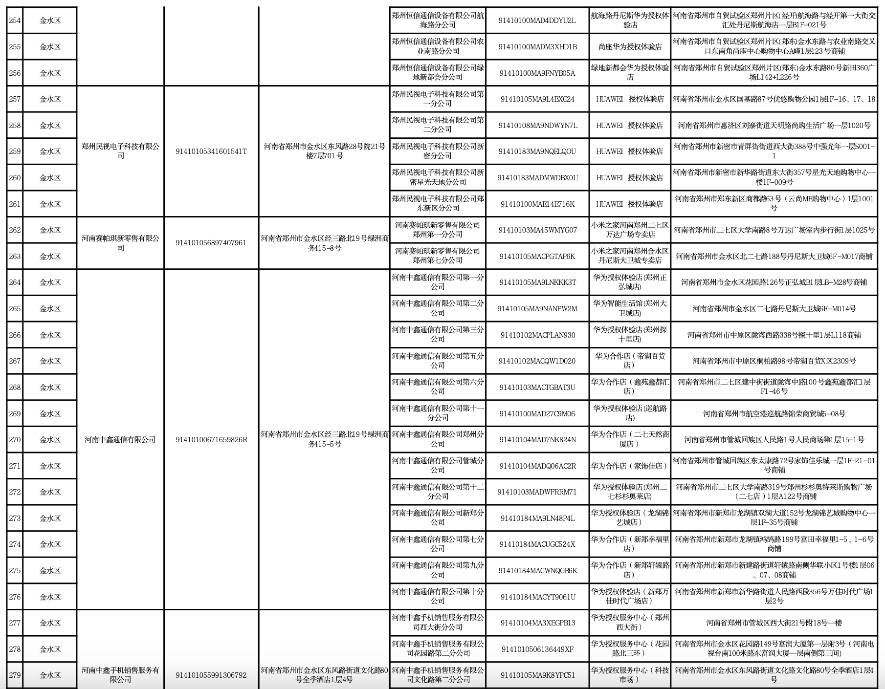
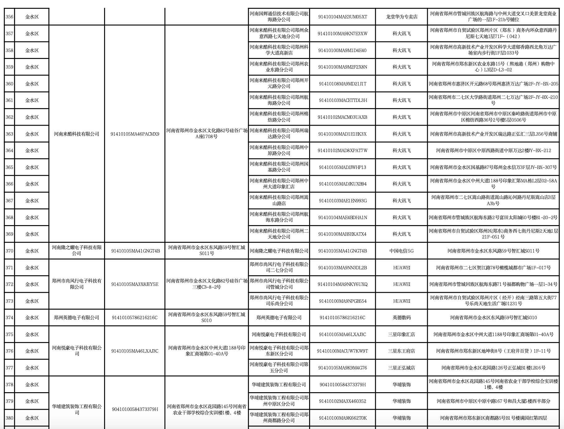
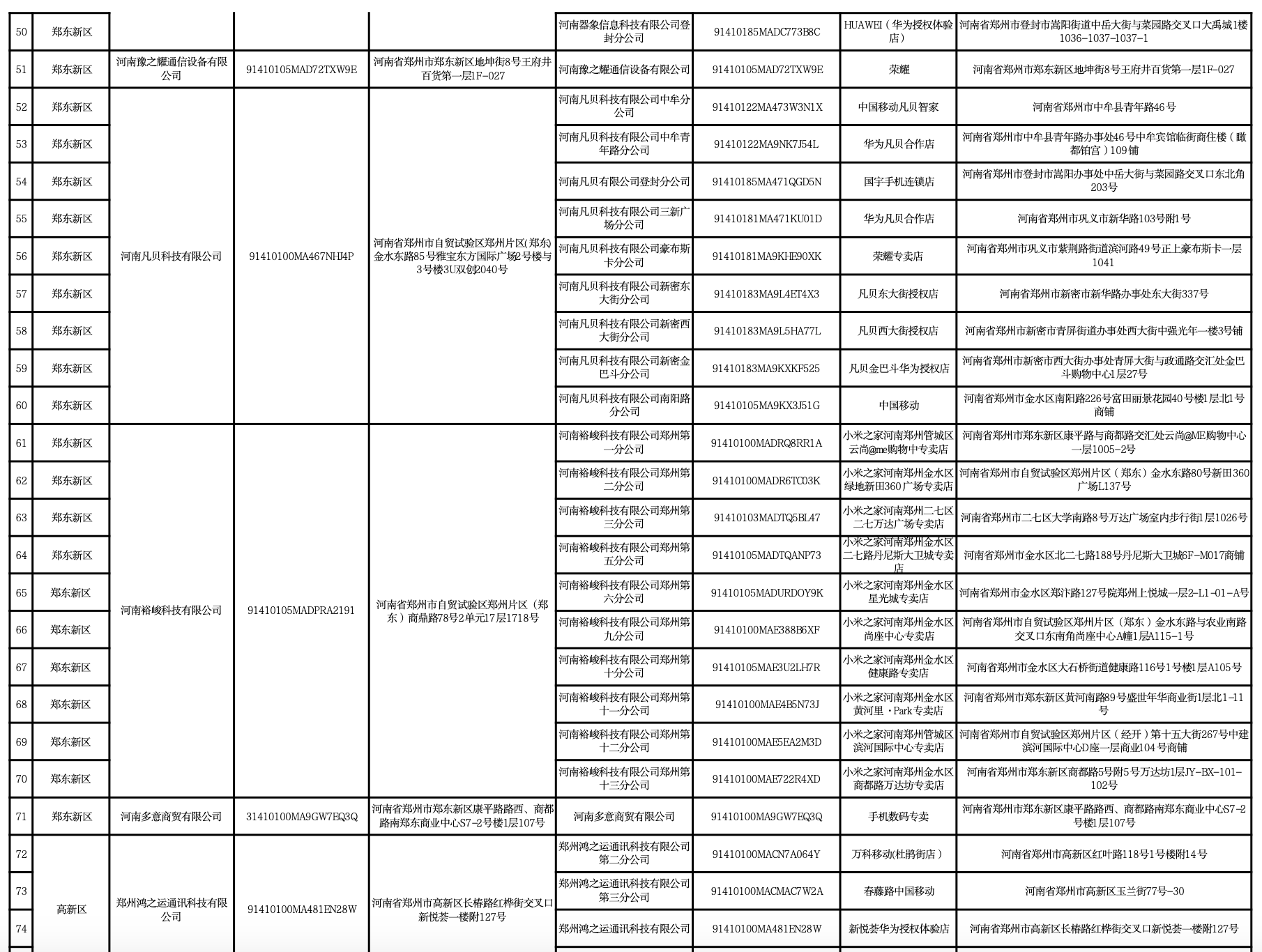
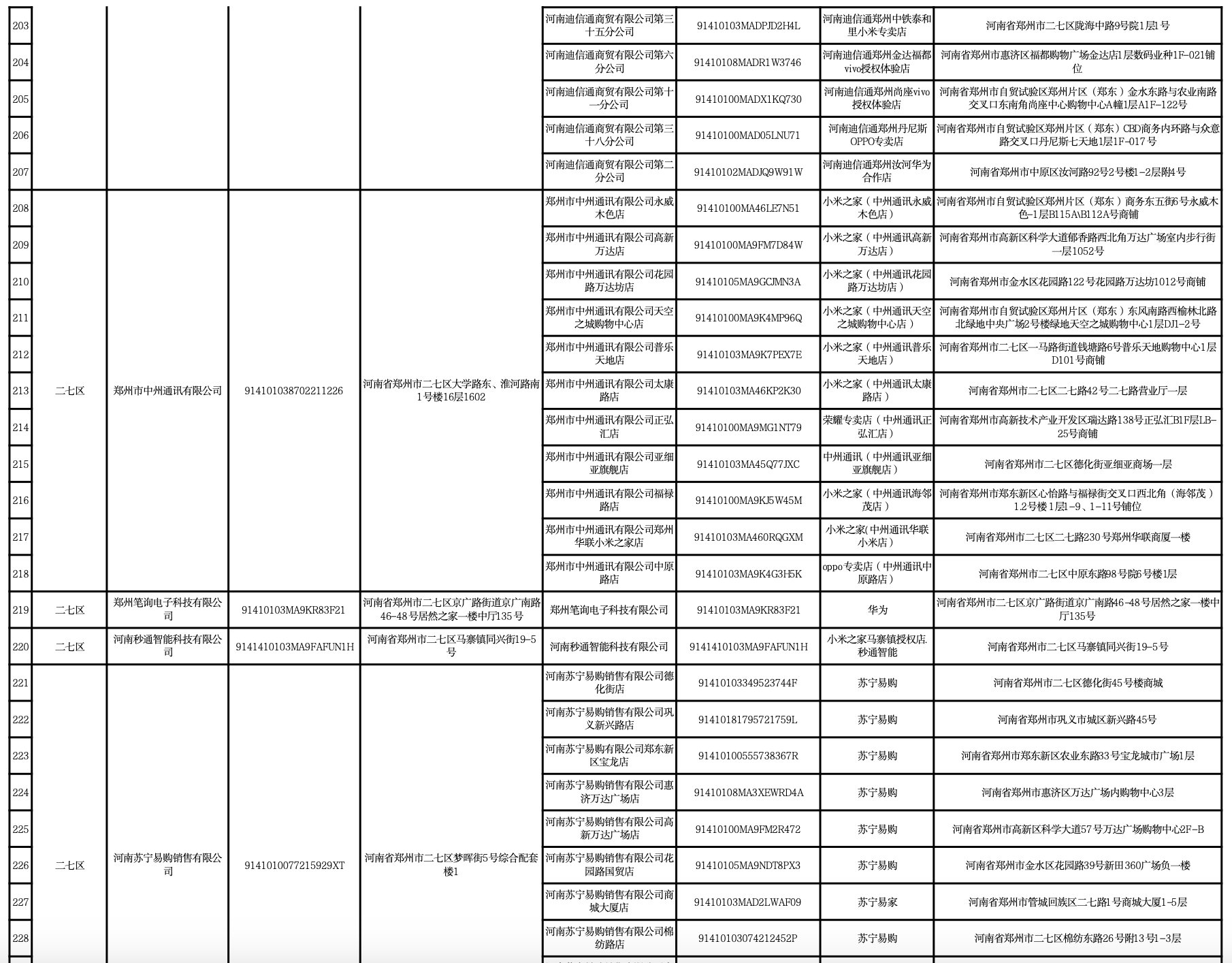
1月16日消息,郑州市商务局公示2025年河南省手机数码产品以旧换新参与主体名单和线上平台(第一批)名单。公示期为1月16日~1月18日。
线上平台名单显示,郑州京东优凯贸易有限公司、河南省新华书店发行集团有限公司、郑州快手网络科技有限公司、郑州小米景明科技有限公司等9家公司的线上平台在列。
参与主体名单显示,苏宁易购白沙店、小米之家河南郑州金水区绿地新田360广场专卖店、小米之家郑东新区敬业路店、中原万达华为授权体验店、京东手机数码陇海路店等门店在列。
来源:大象新闻
网罗天下
襄阳东西轴线传重磅!西内环至长虹路段8月贯通!鱼梁洲隧道段重大进展
前男友发长文暗讽唐诗咏劈腿,马国明罕见爆粗护花
“星爵夫妇”逛市场,凯瑟琳看老公眼神犀利疑心情不佳
次元壁破了!小KK变追星女孩为防弹新歌MV打call
凰家体验官探游兰州新区
集采“反内卷” 我们能对药品更放心吗?
不只是“多了两个假” 中国多地推行中小学春秋假
中国多地滑雪场提前“开板” 周边酒店订单走俏
科创合肥:澎湃创新动能
31省份工业盈亏图鉴 谁赚到钱了?
“鸡排哥”全国“巡炸”南昌站 有游客排队三小时
“300元以下难购真羽绒服”?
武汉一高校发起捐赠1000元冠名座椅活动
山东海阳核电3号机组核岛大型模块吊装完成
中国车企扎堆海外建厂
居延遗址新发现青铜时代遗存
河南开封:大宋“百戏”引游人
野外探险指南:不该碰的东西千万别碰,尤其是恐龙蛋!
又是庆阳帅小伙!环县95后医生逆行千公里赴武汉战疫
好久没有在新年看过这种传动的舞狮了
游艇界的SUV:超豪华BGX70开放式游艇,美到令人窒息!