在过去几年的国际地缘政治影响下,中国半导体产业正在铆足劲追赶。尤其是在较薄弱的一环——设备方面,国内企业的进步更是有目共睹。但是当前中国先进制程半导体设备的国产化率依然较低。随着AI算力芯片产能扩建的加速,先进制程设备的国产化迫在眉睫,否则AI算力基础建设的国产化将是无米之炊。
如图所示,包括氧化/扩散、光刻、刻蚀、离子注入、薄膜生长、抛光、金属化、清洗和量检测在内的流程是贯穿半导体制造的重要环节。据相关数据显示,制造一块芯片通常需要上百台设备紧密配合,历经 400-500 道工序,近年来被广泛讨论的光刻机和刻蚀机就是其中的典型设备。尤其是光刻机,更成为了本土芯片行业乃至全国科技人员关注的重点。

但其实除此之外,还有一种设备亟待实现零的突破,那就是半导体体前道量测设备。其中Overlay(套刻)测量设备,更是前道量测设备的重中之重。
不可或缺的Overlay
什么是 Overlay?简单而言,套刻测量设备主要用于判断各层平面形状对准的精度是否符合要求,是半导体制造工艺中无法省略的检测步骤。
晶圆制造是一个复杂的多层结构构建的过程,每一层平面图形通常先由光刻(涂胶、曝光、显影)工艺定义,再通过刻蚀、薄膜沉积、离子注入、平坦化等工艺构建出三维立体结构。在这个过程中,确保每层图形都被制作在预定位置至关重要。任何不当的偏移,都可能导致晶体管形状不当、金属互联层错位乃至器件失效,从而影响芯片的功能与良率。例如,如果在完成晶体管制造后,用于连接它们的金属孔洞(如钨塞孔)发生了偏移,就会导致器件性能下降甚至完全失效。Overlay设备的任务,就是测量并修正这种层与层之间的“套刻误差”。
符合工艺规定的钨塞孔洞
偏移过度的钨塞孔洞
而要了解如何解决这种误差,就需要了解套刻误差的主要来源。据了解,这主要来自以下两个方面:
光刻机本身:包括曝光图形的畸变和运动平台的微小误差。
其他工艺环节:如刻蚀、薄膜沉积和退火等,这些工艺可能导致晶圆翘曲,间接影响后续光刻的套刻精度。
套刻测量通常伴随着光刻工艺共同使用,套刻测量设备与光刻机配套使用。为了控制套刻误差,光刻工艺通常采用光刻机内置的对准系统、套刻测量设备(Overlay设备)和对准修正软件共同协作,来减小套刻误差。通常1台光刻机配1.5-3台套刻测量设备(先进制程该比例会更大)。如下图所示,在晶圆上每个Die在制造过程中,由光刻工艺所定义的相邻两层平面图形的位置叠对误差(x和y方向)就称为套刻精度,其参与定义晶圆各层平面图形的位置,是各层组件塑造、导电互联的关键参数之一。
需要注意的是,制造完成的晶圆是多层结构,每层的平面图形定义和关键尺寸(CD)有所不同,因此每一层所需的工艺精度也不同。例如,在28nm工艺中,并非所有工艺环节的关键尺寸都需要达到28nm,对于较后段的金属互联工艺,其CD甚至可能达到90nm以上。因此,尽管设备用于28nm产线,但并不意味着所有设备的精度都需达到28nm,这种现象也适用于其他工艺制程。
晶圆实际结构示意图(横切面)
那么,套刻误差在多少范围内是被允许的?从技术层面看,套刻误差的允许范围与关键尺寸(CD)紧密相关。当前层的套刻误差通常被限制在该层最小间距或关键尺寸的1/3以内,而实际不同制程的逻辑工艺所要求的套刻误差如下[1]:
28nm逻辑电路的关键层套刻误差要求在6nm以内;
进入14nm以下制程后,这一比例会变得更小。14nm节点最初要求单次曝光的套刻误差为6.4nm,而双重曝光之间的误差则需达到5.6nm。而14nm经过不断的改进,到了2015年,其关键光刻层的套刻误差要小于5nm[1];
7nm制程的关键层套刻误差要求已降至3nm以内;
5nm和3nm等更先进的制程,关键层的套刻误差更是需要控制在2.5nm和2nm以内。
两条技术路径
为了计算套刻误差,就需要相应的测量设备。按照技术路径划分,则可以分为IBO(基于图像的套刻误差测量)和DBO(基于衍射的套刻误差测量)。
更具体来说,主要通过测量晶圆上预留的特殊“套刻标识图案”来计算误差。这些套刻标识图案通常位于每个Die图案的边或顶点上,前一层(或称之为参考层)的套刻标识图案会随着光刻、刻蚀等工艺保留在晶圆上。而进入当前层工艺之后,新的套刻标识图案在显影之后,会以光刻胶图案的形式出现在当前层。通过获取参考层和当前层的套刻标识图案信息,就可以计算出套刻误差。
基于图像的测量(IBO)
采用IBO技术的套刻设备,是通过高分辨率的光学显微镜直接获取参考层和当前层的套刻标识图案,并通过图像识别和特定的测量算法计算出当前层和参考层的套刻误差信息。
IBO技术采用的套刻标识图案常见的有:(1)盒式套叠型标识Box-in-Box mark,(2)套叠的线条标识Bar-in-Bar mark,(3)先进图像计量型标识Advanced-Image-Metrology(AIM)mark等。如下图所示:
(1)Box-in-Box mark
(2)Bar-in-Bar mark
(3)AIM mark
以Bar-in-Bar mark为例,内圈较暗的条形图案为当前层的套刻标识经过显影之后留下的图案,外圈较亮的条形图案为前一层(参考层)的套刻标识经过显影、刻蚀、薄膜沉积等工艺留在晶圆表面的图案。
基于衍射的测量(DBO)
采用DBO技术的套刻设备,一般采用两层周期性的套刻标识(条纹图案),一层位于晶圆的参考层中,另一层位于当前层的光刻胶上。通过将光线照射到两层条纹图案上并获取反射光衍射条纹的光谱信息(反射谱的强度与套刻误差近似成正比),进而计算出两层的套刻误差。如果这两层图形完全对准,那么在光照下的衍射条纹对称。而通过测量衍射图谱的对称性就可以获得套刻偏差的信息。如下图[2]所示:
典型的 SCOL 套刻标记示意图
包含叠加光栅结构的横截面图
近年来随着制程节点的演进,芯片制造工艺流程变得愈发复杂:逻辑电路的工艺步骤从28nm的约500道,快速增加到14nm以下的1000道以上。晶体管结构从传统的平面型升级为FinFET和GAAFET等立体结构,导致光刻和套刻测量的次数也随之增加。在中国大陆,由于EUV光刻机的供应受限,多重曝光技术在先进制程被广泛应用,进一步提升了晶圆产能对套刻设备的需求密度。
这种需求增长直接体现在设备的配置上:28nm逻辑产线每万片产能通常配备约3台Overlay设备;14nm等先进制程则通常需要3-4台;更先进的工艺对Overlay设备的需求密度持续攀升。同时考虑到先进制程军备竞赛式的扩产,因此,超过80%的Overlay设备需求都来自先进制程工艺。
巨头把持的市场
当前Overlay市场由美国KLA公司和荷兰ASML公司双寡头主导,二者合计占据约90%以上的市场份额。
KLA是套刻测量设备较早的参与者,其设备性能经历了20年以上的考验,并参与了套刻测量标准的制定,是传统意义上的套刻设备垄断型企业,目前占据了60-70%的市场份额。KLA的技术路径以IBO路径为主,目前较新的Archer 800机型已经支持5nm及以下制程的关键膜层。除了IBO之外,KLA在DBO技术路径上开发了ATL系列,主要支持7nm以下的工艺节点。据估算,KLA的套刻设备大约占据其全球收入的8-10%,按照KLA近两年全球收入约100-120亿美元计算,套刻设备每年为KLA贡献了10亿美金的收入体量。
ASML则是套刻测量设备的后起之秀。起初,ASML采用“买光刻机赠送DBO套刻设备”的方式从KLA抢夺了相当一部分市场,后逐步转为单独售卖套刻设备。随着双方竞争的进行,ASML基本占据了约30%的套刻设备市场份额。ASML的技术路径以DBO为主,在7nm以下的先进逻辑制程工艺占据了较大的市场份额。
比较两家的竞争优势,理论上,DBO技术路径能支持的极限分辨率比IBO技术路径更高,而且ASML DBO方案所采用的套刻标记图案面积较小,未来具备in die标记的潜力,因此未来的发展前景受到重视。但是从实际的使用来看,KLA的IBO设备在存储芯片制造工艺上的稳定性更好,而ASML凭借其在光刻机光学、算法和运动平台方面积累的经验,在逻辑芯片制造工艺上的分辨率和测量速度具备优势。对于DBO方案,KLA的ATL系列和ASML的Yieldstar系列在国际头部晶圆厂的竞争较为激烈。目前各个Fab对于IBO和DBO技术路径的选择尚无定论。
在中国大陆晶圆厂对于IBO和DBO的使用层面,由于大陆最主要的晶圆厂制程还是在14nm及以上的节点,同时考虑到晶圆厂的良率标准和工程师的使用习惯,因此当前大陆晶圆厂绝大多数选用的技术路径还是以IBO(即KLA的Archer系列)为主,仅个别7nm及以下的晶圆厂会考虑使用DBO。
短期内,KLA和ASML两大巨头的Overlay地位难以撼动。这是因为Overlay设备的技术门槛极高,集“光、机、电、磁、软件、算法、微环境”于一体,性能要求苛刻,技术壁垒极⾼,是精度要求最⾼的前道量测设备之一。
Overlay设备的性能核心在于精度、速度、一致性、稳定性,仅仅精度和速度两个要求,就使得套刻测量设备的技术难度远超一般的光学量测设备。
测量精度(Precision):指Overlay设备针对同一套刻标识重复测量多次,所得到测量结果与平均值的标准偏差(σ)。3σ则定义为动态精确度(DP,dynamic precision)。Overlay设备相对一般关键尺寸的量测设备要测量更小的目标参数,因此Overlay设备的分辨率要求更高,而对应的测量精度通常是被测量目标的1/10,例如28nm工艺所要求的6nm套刻误差,留给套刻设备的测量精度仅0.6nm以内。
测量速度(Throughput):由于Overlay设备与光刻机紧密配合,其晶圆吞吐量大约为150片/小时,显著高于CD量测设备通常的100片/小时。
一致性:主要包括TIS和Matching指标。TIS(tool induced shift)指套刻测量设备针对同一套刻标识分别在旋转180°前后做测量,得到结果的平均值就是TIS。通过测量晶圆上多个套刻标识所得到的TIS的平均值及其标准偏差(σ或3σ)。Matching指标是指同一台设备在同一时间测量不同的wafer,不同时间测量同一片wafer以及不同的套刻设备测量同一片wafer所得到结果的平均值及其标准偏差。
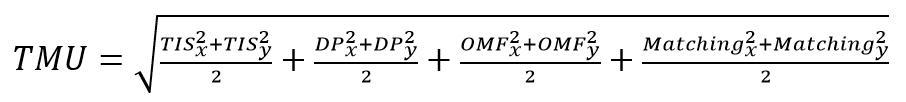
稳定性:对于可以进入量产线配合光刻机工作的Overlay设备,稳定性要求是至关重要的指标,其性能需要保持长期稳定,才有可能进入量产线,否则只能停留在验证阶段。具体参数包括:OMF和TMU。OMF(overlay mark fidelity)指对晶圆上N个密集排列的相同的套刻标识的测量结果的标准偏差(σ或3σ),反应这种套刻标识测量结果的稳定性。另外,TMU用来描述整个测量的不确定性,综合考虑了动态测量精度DP(3σ)、测量设备导致的误差TIS(3σ)、套刻标识可靠性OMF(3σ)和Matching指标。计算公式[1]如下:
上述指标其实相互矛盾,套刻测量设备要满足这些指标要求,需要从整机设计、零部件设计与选型和软件算法适配等多个层面综合考量,这是一个系统性工程。
实际上,套刻测量设备的性能绝大部分来自硬件系统的贡献,剩下少部分来自软件和算法。套刻测量设备的硬件系统主要包括:光源及光学模组、对准系统和运动平台(运动台+减震)等。其中,光源及光学模组提供测量必须的光路,确保足够的分辨率,采集原始数据并通过对应算法解析出结果。对准系统负责于测量前,在微米级尺度上快速完成必须的光学和定位准备。运动平台负责实现亚微米级运动控制,包括X-Y-T运动、Z运动等,同时配以减震系统降低环境震动、结构震动、运动晃动带来的干扰,以确保每次将晶圆运送到指定位置。其中,光学模组、对准系统和运动平台的性能要求显著高于一般的CD测量设备,尤其是运动台和减震的稳定性要求。
从设备开发层面,以KLA为例,KLA不是单纯的系统集成商。Overlay设备的光源相对标准,但是在光学模组、运动台平台和快速对准系统的开发上,KLA大多采用自研+定制的方式,从而在部件和整机性能层面形成显著优势。
对于套刻设备(也包括其它量测设备),最大的难点还是设备的一致性(Tool-to-Tool Matching)。简单说就是同一片wafer, 在同一个Fab厂的任何一台套刻设备测量结果要求是一致的,测量结果差异非常小。对于14nm制程,套刻设备一致性的要求已经到0.3nm,这个对于有上千个部件的设备是个极大的考验。然而,这个是套刻设备能够进入量产线一个必要条件。
国产亟待突围
放眼国内前道量检测设备领域,其国产化程度小于5%,是除光刻机之外,前道设备国产化率最低的领域。而其中,Overlay测量设备更是国产化的重灾区,几乎为零。从需求端来看,2024年,全球Overlay设备市场规模约14亿美元(KLA约10亿美元,ASML约4亿美元。从2024年后半年开始,KLA每个季度的全球收入平均增长了20%多,也印证了更先进制程的扩产带来了量检测设备更高价值量的需求),中国大陆Overlay设备市场约4.5亿美元(30亿元人民币以上,其中KLA约4亿美金,ASML约0.5亿美金)。受海外制裁影响,大陆晶圆厂的实际需求远超这一数字。国产化率低、需求又大,凸显国产替代的迫切性。
2020-2024年,大陆晶圆厂在28nm及以上成熟制程的扩产热潮为国产设备提供了市场机遇。“十四五”期间,预计晶圆厂建设投资超万亿元,其中设备投资约8000亿元,28nm及以下制程设备需求占80%以上,Overlay设备需求约90亿元。2025年后,随着人工智能算力芯片驱动的先进制程扩产,Overlay设备的需求密度将进一步提升,为国产厂商带来更大舞台。
自2020年起,一些国内厂商开始进入这个高门槛赛道。虽然在90nm等成熟制程上,国产设备已经能满足基本量产需求,但在更先进的45nm及以下制程上,我们与国际巨头如KLA、ASML在一致性和稳定性层面的差距依然显著。尤其是在28nm及以下先进制程的关键膜层,国产设备还无法实现稳定量产(这里的量产主要指各个制程节点的关键膜层。例如设备进入28nm产线不代表一定可以满足关键膜层的需求,如果仅应用于非关键膜层,则设备实际能满足的CD甚至可能仅为90nm)。
无锡埃瑞微半导体设备便是国产套刻设备赛道中的一颗新星。公司核心团队源于KLA上海研发中心的整建制团队,曾主导Archer 500(针对14nm制程)设备的开发与量产(全球销量200-300台),并参与了Archer 600(10nm)与Archer 700(7nm)的关键设计,服务过台积电、英特尔、三星等顶级晶圆厂。埃瑞微是国内唯一自主掌握原始核心技术(IBO+DBO路径)的团队,具备从零到一、从部件到整机系统的开发能力以及从1到N的大规模设备量产能力。这份“血统”让其在技术上形成断层式领先,许多国内零部件供应商反馈,埃瑞微提出的关键指标是他们首次遇见,且指标要求远超本土竞品。
目前埃瑞微已经完成首款对标Archer 500产品的研发,对标Archer 700的产品将于年底进入内部demo 阶段。首款设备面向28~14nm Logic/Memory晶圆厂,采用IBO技术,支持300/200mm晶圆。功能方面,支持BIB/AIM/TripleAIM套刻标识测量;兼容半导体自动化GEM300协议;内置Recipe模板仓库,缩短创建时间,提升机台利用率;实现OVL原始数据在线分析,反馈至光刻设备(KTA功能);支持SG/DG模式。
埃瑞微首款产品参数
尽管埃瑞微等厂商带来了希望,但国内与KLA、ASML的差距仍不可忽视。这不是单一企业的短板,而是整个产业链的系统性挑战。
其中,零部件的国产化是绕不开的核心难题。套刻设备是一个复杂的系统工程,涉及光学、机械、电子、算法和软件等多个领域。特别是在光学和运动台等关键环节,国内与国际的差距依然明显。
埃瑞微深知,简单的使用国外现成的供应链,没有办法保持可持续发展,并且面临供应链中断的系统风险。因此,他们从成立之初就将目光锁定在零部件的国产化上。他们不再是简单地使用国内现有的供应链,而是主动与国内供应商紧密合作,提供严苛的技术指标和设计指导。通过与供应商的深度绑定,埃瑞微不仅帮助他们克服技术难关,甚至直接参与到零部件的设计与测试中,共同提升国产供应链的整体水平。这种“授人以渔”的合作模式,不仅让埃瑞微的核心零部件实现了完全国产化,更为中国半导体产业链的长期发展铺平了道路。
写在最后
套刻设备作为光刻机的核心配套,代表了量测技术的最高门槛,其国产化是中国半导体设备自主化的关键一役。埃瑞微的突破不仅填补了国产套刻设备的关键一环,也为整个中国半导体产业提供了一个可借鉴的范本:国产化不只是简单的“复制”,更是一场从底层技术到产业链生态的系统性重构。
据悉,埃瑞微将在首款套刻测量设备研发成功的基础上,凭借7nm以下先进制程设备的研发经验,计划在未来两年内实现先进制程套刻设备的量产。
Overlay设备国产替代的道路充满挑战,但趋势不可逆转。唯有 Fab、设备厂与供应链形成合力,才能打破技术垄断。埃瑞微的尝试,或许将成为国产 Overlay 设备突围的重要注脚。
参考文献
[1] Semi Dance 文章《光刻中的对准和套刻误差控制》
[2] 论文《光刻套刻误差测量技术》——李一鸣















