青春期前男性若接受化疗、放疗等性腺毒性治疗,生殖细胞易遭受不可逆损伤,进而导致生育能力下降,如何为这类人群做好生育保存,成为临床和科研领域共同关注的重要课题。睾丸类器官的体外构建,为解决这一难题开辟了新方向,而打造适配类器官生长的微环境,核心在于找到合适的生物材料组合。
近日,发表于Polymers的一项研究,围绕猪未成熟睾丸白膜脱细胞外基质的制备与应用展开深入探究,为睾丸类器官培养的支架研发提供了关键实验依据。

研究团队首先对原生猪未成熟睾丸白膜开展化学生物力学全面表征,发现该组织的胶原纤维与细胞成分在水合状态下,呈现出明显的力学和化学特征差异,而组织干燥后,胶原成为主导其力学性能的核心成分,这一发现为后续脱细胞外基质的提取奠定了重要物质基础。
图1 水合状态的原生猪未成熟睾丸白膜及不同状态下的布里渊和拉曼光谱等表征图
为获得高纯度的脱细胞外基质,研究对比了ST与STD两种制备方案,结果证实STD方案为最优选择。该方案能实现猪未成熟睾丸白膜的高效脱细胞,核酸去除率达97.91%,最终获得的脱细胞外基质不仅纯度高,蛋白质构象也未发生显著改变。将该产物进行粉末化处理后,其微观结构仍保持稳定,完全具备作为聚合物支架添加剂的应用条件。
随后研究团队将该脱细胞外基质与海藻酸钠、壳聚糖复合,制备了不同比例的3D聚合物支架并完成系统表征。结果显示,脱细胞外基质的加入能显著调控支架的结构重排,同时降低支架吸湿性,进而提升支架的整体力学刚度,且这一调控作用与交联剂浓度、海藻酸钠和壳聚糖的配比密切相关。此外,脱细胞外基质的加入还能优化支架的表面微观结构与孔隙特征,让支架的整体特性更适配睾丸类器官的生长。
图2 不同海藻酸钠壳聚糖支架的布里渊频移及光谱分析图
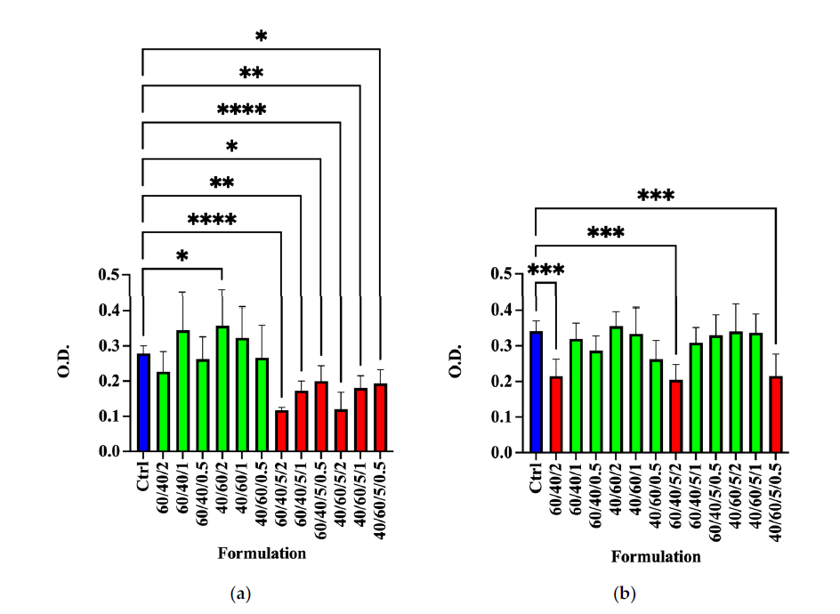
在细胞活力检测环节,研究发现支架在培养基中完成预浸后,除少数特定配方外,其余添加了脱细胞外基质的海藻酸钠壳聚糖支架,对猪未成熟支持细胞的毒性均完全消失,细胞活力恢复至正常水平,这一结果直接证实了该复合支架良好的生物相容性。
图3 不同支架条件培养基在不同时间对支持细胞活力的影响检测图
对于接受性腺毒性治疗的青春期前男性而言,生育保存是关乎其未来生活质量的重要需求,而睾丸类器官的体外培养则是实现这一需求的核心研究方向,适配的支架体系更是类器官生长的关键载体。这项研究成功建立了猪未成熟睾丸白膜脱细胞外基质的高纯度制备方案,明确了该产物作为添加剂能有效优化海藻酸钠壳聚糖生物支架的理化与力学性能,且复合支架经简单的培养基预浸处理后,即可实现良好的生物相容性。这一研究成果不仅为睾丸类器官的体外培养打造了全新的支架体系,为男性生育保存相关的组织工程研究筑牢了实验基础,也为生物聚合物支架的优化设计提供了新的思路与方法,进一步推动了睾丸类器官培养技术的发展,为临床男性生育保存研究提供了新的参考方向。
参考文献:
Alunni Cardinali M, Arato I, Luzi F, et al. Production and Multimodal Characterization of Decellularized Extracellular Matrix from Porcine Prepubertal Tunica Albuginea as Additive to Polymeric Scaffolds for Testicular Organoid Growth. Polymers (Basel). 2026;18(2):194. Published 2026 Jan 10. doi:10.3390/polym18020194




